中华人民共和国住房和城乡建设部公告
第 3 1 2 号
关于发布国家标准《消防给水及消火栓系统技术规范》的公告
现批准《消防给水及消火栓系统技术规范》为国家标准,编号 为GB 50974—2014,自 2 0 1 4 年 1 0 月 1 日起实施。其中,第 4.1.5、4.1.6、4.3.4、4.3.8、4.3.9、4.3.11(1)、4.4.4、4.4.5、 4.4.7、5.1.6(1、2、3)、5.1.8(1、2、3、4)、5.1.9(1、2、3)、5.1.12(1、 2)、5.1.13(1、2、3、4)、5.2.4(1)、5.2.5、5.2.6(1、2)、5.3.2(1)、 5.3.3(1)、5.4.1、5.4.2、5.5.9(1)、5.5.12、6.1.9(1)、6.2.5(1)、 7.1.2、7.2.8、7.3.10、7.4.3、8.3.5、9.2.3、9.3.1、11.0.1(1)、 11.0.2、11.0.5、11.0.7(1)、11.0.9、11.0.12、12.1.1、12.4.1(1)、 13.2.1条(款)为强制性条文,必须严格执行。
本规范由我部标准定额研究所组织中国计划出版社出版 发行。
中华人民共和国住房和城乡建设部 2014年1月29日
前 言
本规范是根据原建设部《关于印发<2006年工程建设标准规 范制订、修订计划(第一批)>的通知》(建标〔2006〕77号)的要求, 由中国中元国际工程公司会同有关单位共同编制完成。
本规范在编制过程中,编制组遵照国家有关基本建设方针和 “预防为主、防消结合”的消防工作方针,服务经济社会发展,进行 了广泛的调查研究,总结了我国消防给水及消火栓系统研究、制 造、设计和维护管理的科研成果及工程实践经验,广泛征求了有关 设计、施工、研究、制造、教学、消防监督等部门和单位的意见,参考 了国外先进标准,最后经审查定稿。
本规范共分14章和7个附录,主要内容包括:总则、术语和符 号、基本参数、消防水源、供水设施、给水形式、消火栓系统、管网、 消防排水、水力计算、控制与操作、施工、系统调试与验收、维护管 理等。
本规范中以黑体字标志的条文为强制性条文,必须严格执行。
本规范由住房和城乡建设部负责管理和对强制性条文的解 释,公安部负责日常管理,中国中元国际工程公司负责具体技术内 容的解释。请各单位在执行本规范过程中,注意总结经验、积累资 料,并及时将意见和有关资料寄送中国中元国际工程公司《消防给 水及消火栓系统技术规范》管理组(地址:北京西三环北路5号;邮 政编码:100089),以供今后修订时参考。
本规范主编单位、参编单位、主要起草人和主要审查人:
主 编 单 位:中国中元国际工程公司
参 编 单 位:公安部天津消防研究所
上海市公安消防总队
北京市公安消防总队
辽宁省公安消防总队
山西省公安消防总队
中国建筑设计研究院
四川省建筑设计院
华东建筑设计研究院有限公司
广州市设计院
中国石化工程建设公司
中国建筑西北设计研究院
新疆维吾尔自治区建筑设计研究院 中国建筑东北设计研究院
南华大学
北京利华消防工程公司
广东东方管业有限公司
上海瑞孚管路系统有限公司
北京中科三正电气有限公司
上海上龙阀门厂
主要起草人:黄晓家 马 恒 曾 杰 孙 巍 王宝伟 张 力 张亦静 谷训龙 关大巍 赵力增 赵世明 朱 勇 郝爱玲 方汝清 赵力军 冯旭东 王 研 张洪洲 刘德军 黄 琦 杨 欣 美 宁 谢水波 吴 雪 林津强 孙青格 季能平 陶松岳
主要审查人:张学魁 赵克伟 倪照鹏 黄德祥 徐 凤 戚晓专 刘国祝 李向东 陈云玉 刘新生 高国瑜 涂正纯 周明潭 韩 玲 黄坚毅 刘 方
1 总 则 ……………………………. ( 1)
2 术 语 和 符 号 ……………………………. (2)
2.1 术语 …………………………….. (2)
2.2 符号 …………………………….. (3)
3 基 本 参 数 …………………………….. (6)
3.1 一 般规定 ………………………….. (6)
3.2 市政消防给水设计流量 ……………… (7)
3.3 建筑物室外消火栓设计流量 ………….. (8)
3.4 构筑物消防给水设计流量 ……………. (9)
3.5 室内消火栓设计流量 ……………….. ( 18)
3.6 消防用水量 ………………………. (21)
4 消 防 水 源 ……………………………. (25)
4.1 一般规定 ………………………… (25)
4.2 市政给水 ………………………… (25)
4.3 消防水池 ………………………… (26)
4.4 天然水源及其他 …………………….. (28)
5 供 水 设 施 ……………………………. (30)
5.1 消防水泵 …………………………. (30)
5.2 高位消防水箱 ………………………. (35)
5.3 稳压泵 ………………………….. (37)
5.4 消防水泵接合器 …………………….. (38)
5.5 消防水泵房 ………………………. (39)
6 给 水 形 式 ……………………………. (43)
6.1 一般规定 …………………………. (43)
6.2 分区供水 ………………………… (46)
7 消 火 栓 系 统 ………………………….. (48)
7.1 系统选择 ……………………….. (48)
7.2 市政消火栓 ……………………… (48)
7.3 室外消火栓 ………………………. (49)
7.4 室内消火栓 ……………………… (51)
8 管 网 ………………………….. (54)
8.1 一 般规定 ………………………… (54)
8.2 管道设计 ……………………….. (56)
8.3 阀门及其他 ………………………. (59)
9 消 防 排 水 ……………………………. (61)
9.1 一 般规定 ………………………… (61)
9.2 消防排水 ……………………….. (61)
9.3 测试排水 ……………………….. (61)
10 水 力 计 算 ……………………………. (63)
10.1 水力计算 ………………………. (63)
10.2 消火栓 ………………………….. (67)
10.3 减压计算 ……………………….. (68)
11 控 制 与 操 作 …………………………. (70)
1 2 施 工 ………………………….. (73)
12.1 一般规定 …………………………. (73)
12.2 进场检验 ……………………….. (74)
12.3 施 工 …………………………….. (81)
12.4 试压和冲洗 ……………………… (96)
13 系 统 调 试 与 验 收 ………………………. ( 101)
13.1 系统调试 ……………………….. ( 101)
13.2 系统验收 ……………………….. ( 105)
14 维 护 管 理 ………………………….. ( 112)
附 录A 消 防 给 水 及 消 火 栓 系 统 分 部 、 分 项 工 程 划 分 . ( 115)
附录 B 施工现场质量管理检查记录 ….. ( 116)
附录 C 消防给水及消火栓系统施工过程质量检查记录 ……………………… ( 117)
附录 D 消防给水及消火栓系统工程质量控制资料检查记录 ……………………… ( 122)
附录E 消防给水及消火栓系统工程验收记录 ( 123)
附 录F 消防给水及消火栓系统验收缺陷项目划分 ………………………………. ( 124)
附录G 消防给水及消火栓系统维护管理工作检查项目 ……………………… ( 125)
本规范用词说明 …………………….. ( 127)
引用标准名录 ……………………… ( 128)
附 :条文说明 ………………………. ( 131)
Contents
1 General provisions …………………………………… ( 1)
2 Terms and symbols ………………………………….. (2)
2.1 Terms …………………………………………………………. (2)
2.2 Symbols …………………………………………………….. (3)
3 Design parameter ………………………………………… (6)
3.1 General requirement …………………………………… (6)
3.2 Fire flow rates of town ………………………………… (7)
3.3 Fire flow rates of outdoor hydrant for building .. (8)
3.4 Fire flow rates of outdoor for structures …… (9)
3.5 Fire flow rates of indoor hydrant ………………. ( 18)
3.6 Fire protection water demand ……………………. (21)
4 Fire water ……………………………………………………. (25)
4.1 General requirement ………………………………… (25)
4.2 Water works system ………………………………… (25)
4.3 Fire reservoir ……………………………………………. (26)
4.4 Natural water and others …………………………. (28)
5 Facilities of water supply ………………….. (30)
5.1 Fire pump ………………………………………………….. (30)
5.2 Elevated fire tank ……………………………………. (35)
5.3 Make up pump ……………………………………….. (37)
5.4 Fire department connection ………………………… (38)
5.5 Fire pump room ……………………………………….. (39)
6 Types of fire protection water supply .. (43)
6.1 General requirement ………………………………… (43)
6.2 Vertical zone of water supply ………………….. (46)
7 Hydrant systems ……………………………………… (48)
7.1 Types of system …………………………………………. (48)
7.2 Municipal hydrant ……………………………………… (48)
7.3 Outdoor hydrant …………………………………….. (49)
7.4 Indoor hydrant …………………………………………. (51)
8 Pipeline works …………………………………………. (54)
8.1 General requirement ………………………………….. (54)
8.2 Pipeline design …………………………………………. (56)
8.3 Valves and others ……………………………………… (59)
9 Fire protection drainage ………………………… (61)
9.1 General requirement ………………………………….. (61)
9.2 Fire protection drainage ……………………………. (61)
9.3 Drainage of system commissioning and testing …. (61)
10 Hydraulic calculation …………………………. (63)
10.1 Hydraulic calculation ……………………………… (63)
10.2 Hydrant …………………………………………………… (67)
10.3 Pressure reduction …………………………………. (68)
11 Control and operation ………………………… (70)
12 Installation ……………………………………………….. (73)
12.1 General requirement …………………………………. (73)
12.2 Admission Inspection ……………………………… (74)
12.3 Installation ……………………………………………. (81)
12.4 System pressure testing and flush washing …. (96)
13 System commissioning and acceptance . ( 101)
13.1 System commissioning …………………………….. ( 101)
13.2 System acceptance ………………………………….. ( 105)
14 Maintenance ………………………………………… ( 112)
Appendix A Classifications for subprojects and subunits of fire protection water supply and hydrant systems ………………………………. ( 115)
Appendix B Construction site quality management inspection records ………………… ( 116)
Appendix C Quality inspection records for fire protection water supply and hydrant system
installation processes ………… ( 117)
Appendix D Inspection records for quality control documentation of fire protection water
supply and hydrant system projects ………………………………………………….. ( 122)
Appendix E Records of acceptance for fire protection water supply and hydrant system
projects ……………………………….. ( 123)
Appendix F Classifications for deficiencies in fire protection water supply and hydrant
system acceptance ………………… ( 124)
Appendix G Inspection items for maintenance and supervision of fire protection water supply
and hydrant systems …………….. ( 125)
Explanation of wording in this code ……… ( 127)
List of quoted standards ………………………….. ( 128)
Addition : Explanation of provisions ………… ( 131)
1 总 则
1.0.1 为了合理设计消防给水及消火栓系统,保障施工质量,规 范验收和维护管理,减少火灾危害,保护人身和财产安全,制定本 规范。
1.0.2 本规范适用于新建、扩建、改建的工业、民用、市政等建设 工程的消防给水及消火栓系统的设计、施工、验收和维护管理。
1.0.3 消防给水及消火栓系统的设计、施工、验收和维护管理应 遵循国家的有关方针政策,结合工程特点,采取有效的技术措施, 做到安全可靠、技术先进、经济适用、保护环境。
1.0.4 工程中采用的消防给水及消火栓系统的组件和设备等应 为符合国家现行有关标准和准入制度要求的产品。
1.0.5 消防给水及消火栓系统的设计、施工、验收和维护管理,除 应符合本规范外,尚应符合国家现行有关标准的规定。
2 术语和符号
2.1 术 语
2.1.1 消防水源 fire water
向水灭火设施、车载或手抬等移动消防水泵、固定消防水泵等 提供消防用水的水源,包括市政给水、消防水池、高位消防水池和 天然水源等。
2.1.2 高压消防给水系统 constant high pressure fire pro-tection water supply system
能始终保持满足水灭火设施所需的工作压力和流量,火灾时 无须消防水泵直接加压的供水系统。
2.1.3 临时高压消防给水系统 temporary high pressure fire protection water supply system
平时不能满足水灭火设施所需的工作压力和流量,火灾时能 自动启动消防水泵以满足水灭火设施所需的工作压力和流量的供 水系统。
2.1.4 低压消防给水系统 low pressure fire protection water supply system
能满足车载或手抬移动消防水泵等取水所需的工作压力和流 量的供水系统。
2.1.5 消防水池 fire reservoir
人工建造的供固定或移动消防水泵吸水的储水设施。
2.1.6 高位消防水池 gravity fire reservoir
设置在高处直接向水灭火设施重力供水的储水设施。
2.1.7 高位消防水箱 elevated/gravity fire tank
设置在高处直接向水灭火设施重力供应初期火灾消防用水量的储水设施。
2.1.8 消火栓系统 hydrant systems/standpipe and hose systems
由供水设施、消火栓、配水管网和阀门等组成的系统。
2.1.9 湿式消火栓系统 wet hydrant system/wet standpipe system
平时配水管网内充满水的消火栓系统。
2.1.10 干式消火栓系统 dry hydrant system/dry standpipe system
平时配水管网内不充水,火灾时向配水管网充水的消火栓 系统。
2.1.11 静水压力 static pressure
消防给水系统管网内水在静止时管道某一点的压力,简称静 压。
2.1.12 动水压力 residual/running pressure
消防给水系统管网内水在流动时管道某一点的总压力与速度 压力之差,简称动压。
2.2 符 号
A—— 消防水池进水管断面面积;
Bmx—— 最大船宽度;
C——海澄—威廉系数;
Cv——流速系数;
c——水击波的传播速度;
co——水中声波的传播速度;
d₈——节流管计算内径;
dx—— 减压孔板孔口的计算内径;
d;—— 管道计算内径;
E—— 管道材料的弹性模量;
F—— 着火油船冷却面积;
fmx—— 最大船的最大舱面积;
g—— 重力加速度;
H- 消防水池最低有效水位至最不利点处水灭火设施的几 何高差;
H₈—— 节流管的水头损失;
H₄—— 减压孔板的水头损失;
i—— 单位长度管道沿程水头损失;
K—— 水的体积弹性模量;
k₁— —管件和阀门当量长度换算系数;
k₂—— 安全系数;
k₃—— 消防水带弯曲折减系数;
L—— 管道直线段长度;
L₄—— 消防水带长度;
L;— —节流管长度;
Lmx——最大船的最大舱纵向长度;
L₉—— 管件和阀门等当量长度;
L₅- 水枪充实水柱长度在平面上的投影长度;
m—— 建筑同时作用的室内水灭火系统数量;
n—— 建筑同时作用的室外水灭火系统数量;
n₄—— 管道粗糙系数;
P—— 消防给水泵或消防给水系统所需要的设计扬程或设计 压力;
P₀—— 最不利点处水灭火设施所需的设计压力; P₁- -管道沿程水头损失;
Pa—— 管道某一点处的压力;
P,—— 管件和阀门等局部水头损失;
P—— 管道某一点处的总压力;
P,—— 管道速度压力;
△p——水锤最大压力;
q——管段消防给水设计流量;
qt——火灾时消防水池的补水流量;
qu—— 室外第i 种水灭火设施的设计流量;
qz—— 室内第i 种水灭火设施的设计流量;
R—— 管道水力半径;
R₀—— 消火栓保护半径;
Re——管道雷诺数;
Sx——水枪充实水柱长度;
T—— 水的温度;
tu——室外第 i种水灭火系统的火灾延续时间; tz—— 室内第 i 种水灭火系统的火灾延续时间; v——管道内水的平均流速;
V—— 建筑物消防给水一起火灾灭火用水总量; V₁—— 室外消防给水一起火灾灭火用水量;
V₂—— 室内消防给水一起火灾灭火用水量;
V₄—— 节流管内水的平均流速;
Vx——减压孔板后管道内水的平均流速;
y—— 系数;
λ- 水头损失沿程阻力系数;
p——水的密度;
μ——水的动力黏滞系数,
v——水的运动黏滞系数;
e——当量粗糙度;
5i—— 减压孔板的局部阻力系数;
ζ₂——节流管中渐缩管与渐扩管的局部阻力系数之和;
δ——管道壁厚。
3.1 一 般 规 定
3.1.1 工厂、仓库、堆场、储罐区或民用建筑的室外消防用水量, 应按同一时间内的火灾起数和一起火灾灭火所需室外消防用水量 确定。同一时间内的火灾起数应符合下列规定:
1 工厂、堆场和储罐区等,当占地面积小于等于100hm², 且 附有居住区人数小于或等于1.5万人时,同一时间内的火灾起数 应按1起确定;当占地面积小于或等于100hm², 且附有居住区人 数大于1.5万人时,同一时间内的火灾起数应按2起确定,居住区 应计1起,工厂、堆场或储罐区应计1起;
2 工厂、堆场和储罐区等,当占地面积大于100hm², 同一时 间内的火灾起数应按2起确定,工厂、堆场和储罐区应按需水量最 大的两座建筑(或堆场、储罐)各计1起;
3 仓库和民用建筑同一时间内的火灾起数应按1起确定。
3.1.2 一起火灾灭火所需消防用水的设计流量应由建筑的室外 消火栓系统、室内消火栓系统、自动喷水灭火系统、泡沫灭火系统、 水喷雾灭火系统、固定消防炮灭火系统、固定冷却水系统等需要同 时作用的各种水灭火系统的设计流量组成,并应符合下列规定:
1 应按需要同时作用的各种水灭火系统最大设计流量之和 确定;
2 两座及以上建筑合用消防给水系统时,应按其中一座设计 流量最大者确定;
3 当消防给水与生活、生产给水合用时,合用系统的给水设 计流量应为消防给水设计流量与生活、生产用水最大小时流量之 和。计算生活用水最大小时流量时,淋浴用水量宜按15%计,浇洒及洗刷等火灾时能停用的用水量可不计。
3.1.3 自动喷水灭火系统、泡沫灭火系统、水喷雾灭火系统、固定 消防炮灭火系统等水灭火系统的消防给水设计流量,应分别按现 行国家标准《自动喷水灭火系统设计规范》GB 50084、《泡沫灭火 系统设计规范》GB 50151、《水喷雾灭火系统设计规范》GB 50219 和《固定消防炮灭火系统设计规范》GB 50338等的有关规定执行。 3.1.4 本规范未规定的建筑室内外消火栓设计流量,应根据其火 灾危险性、建筑功能性质、耐火等级和建筑体积等相似建筑确定。
3.2 市政消防给水设计流量
3.2.1 市政消防给水设计流量,应根据当地火灾统计资料、火灾 扑救用水量统计资料、灭火用水量保证率、建筑的组成和市政给水 管网运行合理性等因素综合分析计算确定。
3.2.2 城镇市政消防给水设计流量,应按同一时间内的火灾起数 和一起火灾灭火设计流量经计算确定。同一时间内的火灾起数和 一起火灾灭火设计流量不应小于表3.2.2的规定。
表3.2.2 城镇同一时间内的火灾起数和一起火灾灭火设计流量
| 人数(万人) | 同一时间内的火灾起数 (起) | 一起火灾灭火设计流量 (L/s) |
| N≤1.0 | 1 | 15 |
| 1.0<N≤2.5 | 20 | |
| 2.5<N≤5.0 | 2 | 30 |
| 5.0<N≤10.0 | 35 | |
| 10.0<N≤20.0 | 45 | |
| 20.0<N≤30.0 | 60 | |
| 30.0<N≤40.0 | 75 | |
| 40.0<N≤50.0 | 3 | |
| 50.0<N≤70.0 | 90 | |
| N>70.0 | 100 |
3.2.3 工业园区、商务区、居住区等市政消防给水设计流量,宜根 据其规划区域的规模和同一时间的火灾起数,以及规划中的各类 建筑室内外同时作用的水灭火系统设计流量之和经计算分析 确定。
3.3 建筑物室外消火栓设计流量
3.3.1 建筑物室外消火栓设计流量,应根据建筑物的用途功能、 体积、耐火等级、火灾危险性等因素综合分析确定。
3.3.2 建筑物室外消火栓设计流量不应小于表3.3.2的规定。
表3.3.2 建筑物室外消火栓设计流量(L/s)
| 耐火 等级 | 建筑物名称及类别 | 建 筑 体 积 ( m ³ ) | |||||||
| V≤ 1500 | 1500<V ≤3000 | 3000<V ≤5000 | 5000<V ≤20000 | 20000<V ≤50000 | V> 50000 | ||||
| 二 级 | 工业 建筑 | 厂房 | 甲、乙 | 15 | 20 | 25 | 30 | 35 | |
| 丙 | 15 | 20 | 25 | 30 | 40 | ||||
| 丁、戊 | 15 | 20 | |||||||
| 仓库 | 甲、乙 | 15 | 25 | — | |||||
| 丙 | 15 | 25 | 35 | 45 | |||||
| 丁、戊 | 15 | 20 | |||||||
| 民用 建筑 | 住宅 | 15 | |||||||
| 公共 建筑 | 单层及多层 | 15 | 25 | 30 | 40 | ||||
| 高层 | — | 25 | 30 | 40 | |||||
| 地下建筑(包括地铁)、 平战结合的人防工程 | 15 | 20 | 25 | 30 | |||||
| 三级 | 工业建筑 | 乙、丙 | 15 | 20 | 30 | 40 | 45 | — | |
| 丁、戊 | 15 | 20 | 25 | 35 | |||||
| 单层及多层民用建筑 | 15 | 20 | 25 | 30 | |||||
| 耐火 等级 | 建筑物名称及类别 | 建筑体积(m³) | |||||
| V≤ 1500 | 1500<V ≤300 | 3000<V ≤5000 | 5000<V ≤20000 | 20000<V ≤5000 | V> 50000 | ||
| 四级 | 丁、戊类工业建筑 | 15 | 20 | 25 | |||
| 单层及多层民用建筑 | 15 | 20 | 25 | ||||
注:1 成组布置的建筑物应按消火栓设计流量较大的相邻两座建筑物的体积之 和确定;
2 火车站、码头和机场的中转库房,其室外消火栓设计流量应按相应耐火等 级的丙类物品库房确定;
3 国家级文物保护单位的重点砖木、木结构的建筑物室外消火栓设计流量, 按三级耐火等级民用建筑物消火栓设计流量确定;
4 当单座建筑的总建筑面积大于500000m² 时,建筑物室外消火栓设计流量 应按本表规定的最大值增加一倍。
3.3.3 宿舍、公寓等非住宅类居住建筑的室外消火栓设计流量, 应按本规范表3 . 3 . 2中的公共建筑确定。
3.4 构筑物消防给水设计流量
3.4.1 以煤、天然气、石油及其产品等为原料的工艺生产装置的 消防给水设计流量,应根据其规模、火灾危险性等因素综合确定, 且应为室外消火栓设计流量、泡沫灭火系统和固定冷却水系统等 水灭火系统的设计流量之和,并应符合下列规定:
1 石油化工厂工艺生产装置的消防给水设计流量,应符合现 行国家标准《石油化工企业设计防火规范》GB50160 的有关规定;
2 石油天然气工程工艺生产装置的消防给水设计流量,应符 合现行国家标准《石油天然气工程设计防火规范》GB 50183 的 有 关规定。
3.4.2 甲、乙、丙类可燃液体储罐的消防给水设计流量应按最大 罐组确定,并应按泡沫灭火系统设计流量、固定冷却水系统设计流 量与室外消火栓设计流量之和确定,同时应符合下列规定:
1 泡沫灭火系统设计流量应按系统扑救储罐区一起火灾的 固定式、半固定式或移动式泡沫混合液量及泡沫液混合比经计算 确定,并应符合现行国家标准《泡沫灭火系统设计规范》GB 50151 的有关规定;
2 固定冷却水系统设计流量应按着火罐与邻近罐最大设计 流量经计算确定,固定式冷却水系统设计流量应按表3 .4 . 2- 1 或 表3 .4 . 2- 2规定的设计参数经计算确定。
表3.4.2-1 地上立式储罐冷却水系统的保护范围和喷水强度
| 项 目 | 储罐型式 | 保 护 范 围 | 喷水强度 | |
| 移动式冷却 | 着火罐 | 固定顶罐 | 罐周全长 | 0.80L/(s·m) |
| 浮顶罐 、 内浮顶罐 | 罐周全长 | 0.60L/(s·m) | ||
| 邻近罐 | 罐周半长 | 0.70L/(s·m) | ||
| 固定式冷却 | 着火罐 | 固定顶罐 | 罐壁表面积 | 2.5L/(min·m²) |
| 浮顶罐 、 内浮顶罐 | 罐壁表面积 | 2.0L/(min·m²) | ||
| 邻近罐 | 不应小于罐壁表面积的1/2 | 与着火罐相同 | ||
注:1 当浮顶、内浮顶罐的浮盘采用易熔材料制作时,内浮顶罐的喷水强度应按 固定顶罐计算;
2 当浮顶、内浮顶罐的浮盘为浅盘式时,内浮顶罐的喷水强度应按固定顶罐 计算;
3 固定冷却水系统邻近罐应按实际冷却面积计算,但不应小于罐壁表面积的 1/2;
4 距着火固定罐罐壁1.5倍着火罐直径范围内的邻近罐应设置冷却水系统, 当邻近罐超过3个时,冷却水系统可按3个罐的设计流量计算;
5 除浮盘采用易熔材料制作的储罐外,当着火罐为浮顶、内浮顶罐时,距着火 罐壁的净距离大于或等于0.4D的邻近罐可不设冷却水系统,D 为着火油 罐与相邻油罐两者中较大油罐的直径;距着火罐壁的净距离小于0.4D 范 围内的相邻油罐受火焰辐射热影响比较大的局部应设置冷却水系统,且所有相邻油罐的冷却水系统设计流量之和不应小于45L/s;
6 移动式冷却宜为室外消火栓或消防炮。
表3.4.2-2 卧式储罐、无覆土地下及半地下立式储罐 冷却水系统的保护范围和喷水强度
| 项 目 | 储罐 | 保护范围 | 喷水强度 |
| 移动式冷却 | 着火罐 | 罐壁表面积 | 0.10L/(s·m²) |
| 邻近罐 | 罐壁表面积的一半 | 0.10L/(s·m²) | |
| 固定式冷却 | 着火罐 | 罐壁表面积 | 6.0L/(min·m²) |
| 邻近罐 | 罐壁表面积的一半 | 6.0L/(min·m²) |
注:1 当计算出的着火罐冷却水系统设计流量小于15L/s 时,应采用15L/s;
2 着火罐直径与长度之和的一半范围内的邻近卧式罐应进行冷却;着火罐直 径1.5倍范围内的邻近地下、半地下立式罐应冷却;
3 当邻近储罐超过4个时,冷却水系统可按4个罐的设计流量计算;
4 当邻近罐采用不燃材料作绝热层时,其冷却水系统喷水强度可按本表减少 50%,但设计流量不应小于7.5L/s;
5 无覆土半地下、地下卧式罐冷却水系统的保护范围和喷水强度应按本表地上卧式罐确定。
3 当储罐采用固定式冷却水系统时室外消火栓设计流量不 应小于表3.4.2-3的规定,当采用移动式冷却水系统时室外消火 栓设计流量应按表3.4.2-1或表3.4.2-2规定的设计参数经计算确定,且不应小于15L/s。
表3.4.2-3 甲、乙、丙类可燃液体地上立式储罐区的室外消火栓设计流量
| 单罐储存容积(m³) | 室外消火栓设计流量(L/s) |
| W≤5000 | 15 |
| 5000<W≤30000 | 30 |
| 30000<W≤100000 | 45 |
| W>100000 | 60 |
3.4.3 甲、乙、丙类可燃液体地上立式储罐冷却水系统保护范围 和喷水强度不应小于本规范表3.4.2-1的规定;卧式储罐、无覆土 地下及半地下立式储罐冷却水系统保护范围和喷水强度不应小于 本规范表3.4.2-2 的规定;室外消火栓设计流量应按本规范第 3.4.2条第3款的规定确定。
3.4.4 覆土油罐的室外消火栓设计流量应按最大单罐周长和喷 水强度计算确定,喷水强度不应小于0.30L/(s·m); 当计算设计流量小于15L/s 时,应采用15L/s。
3.4.5 液化烃罐区的消防给水设计流量应按最大罐组确定,并应 按固定冷却水系统设计流量与室外消火栓设计流量之和确定,同 时应符合下列规定:
1 固定冷却水系统设计流量应按表3.4.5-1 规定的设计参数 经计算确定;室外消火栓设计流量不应小于表3.4.5-2 的规定值;
2 当企业设有独立消防站,且单罐容积小于或等于100m³ 时,可采用室外消火栓等移动式冷却水系统,其罐区消防给水设计 流量应按表3.4.5-1的规定经计算确定,但不应低于100L/s。
表3.4.5-1 液化烃储罐固定冷却水系统设计流量
| 项 目 | 储罐型式 | 保护范围 | 喷水强度[L/(min·m²)] | |
| 全冷冻式 | 着 火 罐 | 单防罐外壁 为钢制 | 罐壁表面积 | 2.5 |
| 罐顶表面积 | 4.0 | |||
| 双防罐、全 防罐外壁为钢 筋混凝土结构 | ||||
| 邻近罐 | 罐壁表面积的1/2 | 2.5 | ||
| 全压力式 及半冷冻式 | 着火罐 | 罐体表面积 | 9.0 | |
| 邻近罐 | 罐体表面积的1/2 | 9.0 | ||
注:1 固定冷却水系统当采用水喷雾系统冷却时喷水强度应符合本规范要求,且系统设置应符合现行国家标准《水喷雾灭火系统设计规范》GB 50219 的有 关规定;
2 全冷冻式液化烃储罐,当双防罐、全防罐外壁为钢筋混凝土结构时,罐顶和 罐壁的冷却水量可不计,但管道进出口等局部危险处应设置水喷雾系统冷 却,供水强度不应小于20.0L/(min·m²);
3 距着火罐罐壁1.5倍着火罐直径范围内的邻近罐应计算冷却水系统,当邻 近罐超过3个时,冷却水系统可按3个罐的设计流量计算;
4 当储罐采用固定消防水炮作为固定冷却设施时,其设计流量不宜小于水喷 雾系统计算流量的1.3倍。
| 单罐储存容积(m³) | 室外消火栓设计流量(L/s) |
| W≤100 | 15 |
| 100<W≤400 | 30 |
| 400<W≤650 | 45 |
| 650<W≤1000 | 60 |
| W>1000 | 80 |
注:1 罐区的室外消火栓设计流量应按罐组内最大单罐计;
2 当储罐区四周设固定消防水炮作为辅助冷却设施时,辅助冷却水设计流量 不应小于室外消火栓设计流量。
3.4.6 沸点低于45℃甲类液体压力球罐的消防给水设计流量, 应按本规范第3.4.5条中全压力式储罐的要求经计算确定。
3.4.7 全压力式、半冷冻式和全冷冻式液氨储罐的消防给水设计 流量,应按本规范第3.4.5条中全压力式及半冷冻式储罐的要求 经计算确定,但喷水强度应按不小于6.0L/(min·m²) 计算,全冷 冻式液氨储罐的冷却水系统设计流量应按全冷冻式液化烃储罐外 壁为钢制单防罐的要求计算。
3.4.8 空分站,可燃液体、液化烃的火车和汽车装卸栈台,变电站 等室外消火栓设计流量不应小于表3.4.8的规定。当室外变压器 采用水喷雾灭火系统全保护时,其室外消火栓给水设计流量可按 表3 .4 .8规定值的50%计算,但不应小于15L/s。
表3.4.8 空分站,可燃液体、液化烃的火车和汽车装卸栈台,变电站室外消火栓设计流量
| 名 称 | 室外消火栓设计流量(L/s) | |
| 空分站产氧气能力 (Nm³/h) | 3000<Q≤10000 | 15 |
| 10000<Q≤30000 | 30 | |
| 30000<Q≤50000 | 45 | |
| Q>50000 | 60 | |
| 名 称 | 室外消火栓设计流量(L/s) | |
| 专用可燃液体、液化烃的火车和汽车 装卸栈台 | 60 | |
| 变电站单台油浸 变压器含油量(t) | 5<W≤10 | 15 |
| 10<W≤50 | 20 | |
| W>50 | 30 | |
注:当室外油浸变压器单台功率小于300MV·A, 且周围无其他建筑物和生产生活给水时,可不设置室外消火栓。
3.4.9 装卸油品码头的消防给水设计流量,应按着火油船泡沫灭 火设计流量、冷却水系统设计流量、隔离水幕系统设计流量和码头 室外消火栓设计流量之和确定,并应符合下列规定:
1 泡沫灭火系统设计流量应按系统扑救着火油船一起火灾 的泡沫混合液量及泡沫液混合比经计算确定,泡沫混合液供给强 度、保护范围和连续供给时间不应小于表3.4.9-1 的规定,并应符 合现行国家标准《泡沫灭火系统设计规范》GB 50151的有关规定;
表3.4.9-1 油船泡沫灭火系统混合液量的供给强度、 保护范围和连续供给时间
| 项 目 | 船型 | 保护范围 | 供给强度 [L/(min·m²)] | 连续供给时间 (min) |
| 甲、乙类可燃液体 油品码头 | 着火油船 | 设计船型最大 油仓面积 | 8.0 | 40 |
| 丙类可燃 液体油品码头 | 30 |
2 油船冷却水系统设计流量应按火灾时着火油舱冷却水保
护范围内的油舱甲板面冷却用水量计算确定,冷却水系统保护范 围、喷水强度和火灾延续时间不应小于表3.4.9-2的规定;
表3.4.9-2 油船冷却水系统的保护范围、喷水强度和火灾延续时间
| 项 目 | 船型 | 保护范围 | 喷水强度 [L/(min·m²) | 火灾延续时间 (h) |
| 甲、乙类可燃液体 油品一级码头 | 着火油船 | 着火油舱冷却范围 内的油舱甲板面 | 2.5 | 6.0注1 |
| 甲、乙类可燃液体 油品二、三级码头 丙类可燃液体油品 码头 | 4.0 |
注:1 当油船发生火灾时,陆上消防设备所提供的冷却油舱甲板面的冷却设计流 量不应小于全部冷却水用量的50%;
2 当配备水上消防设施进行监护时,陆上消防设备冷却水供给时间可缩短至4h。
3 着火油船冷却范围应按下式计算:
F=3LmxBmax—fma (3.4.9)
式中:F—— 着火油船冷却面积(m²);
Bmx—— 最大船宽(m);
Lmx—— 最大船的最大舱纵向长度(m);
fmx—— 最大船的最大舱面积(m²)。
4 隔离水幕系统的设计流量应符合下列规定:
1)喷水强度宜为1 .0L/(s·m)~2.0L/(s·m);
2)保护范围宜为装卸设备的两端各延伸5m, 水幕喷射高度宜高于被保护对象1.50m;
3)火灾延续时间不应小于1 . 0h,并应满足现行国家标准《自动喷水灭火系统设计规范》GB 50084 的有关规定。
5 油品码头的室外消火栓设计流量不应小于表3.4.9-3 的规定。
| 名 称 | 室外消火栓设计流量(L/s) | 火灾延续时间(h) |
| 海港油品码头 | 45 | 6.0 |
| 河港油品码头 | 30 | 4.0 |
| 码头装卸区 | 20 | 2.0 |
3.4.10 液化石油气船的消防给水设计流量应按着火罐与距着火 罐1.5倍着火罐直径范围内罐组的冷却水系统设计流量与室外消 火栓设计流量之和确定;着火罐和邻近罐的冷却面积均应取设计 船型最大储罐甲板以上部分的表面积,并不应小于储罐总表面积 的1/2,着火罐冷却水喷水强度应为10.0L/(min·m²), 邻近罐冷 却水喷水强度应为5.0L/(min·m²); 室外消火栓设计流量不应 小于本规范表3.4.9-3的规定。
3.4.11 液化石油气加气站的消防给水设计流量,应按固定冷却 水系统设计流量与室外消火栓设计流量之和确定,固定冷却水系 统设计流量应按表3.4.11-1 规定的设计参数经计算确定,室外消 火栓设计流量不应小于表3.4.11-2的规定;当仅采用移动式冷却 系统时,室外消火栓的设计流量应按表3.4.11-1规定的设计参数 计算,且不应小于15L/s。
表3.4.11-1 液化石油气加气站地上储罐冷却系统保护范围和喷水强度
| 项 目 | 储罐 | 保护范围 | 喷水强度 |
| 移动式冷却 | 着火罐 | 罐壁表面积 | 0.15L/(s·m²) |
| 邻近罐 | 罐壁表面积的1/2 | 0.15L/(s·m²) | |
| 固定式冷却 | 着火罐 | 罐壁表面积 | 9.0L/(min·m²) |
| 邻近罐 | 罐壁表面积的1/2 | 9.0L/(min·m²) |
注:着火罐的直径与长度之和0.75倍范围内的邻近地上罐应进行冷却。
表3.4.11-2 液化石油气加气站室外消火栓设计流量
| 名 称 | 室外消火栓设计流量(L/s) |
| 地上储罐加气站 | 20 |
| 埋地储罐加气站 | 15 |
| 加油和液化石油气加气合建站 |
3.4.12 易燃、可燃材料露天、半露天堆场,可燃气体罐区的室外消火栓设计流量,不应小于表3 .4 . 12的规定。
表3.4.12 易燃、可燃材料露天、半露天堆场,可燃气体罐区的 室外消火栓设计流量
| 名 称 | 总储量或总容量 | 室外消火栓设计流量(L/s) | |
| 粮食(t) | 土圆囤 | 30<W≤500 | 15 |
| 500<W≤5000 | 25 | ||
| 5000<W≤20000 | 40 | ||
| W>20000 | 45 | ||
| 席穴甩 | 30<W≤500 | 20 | |
| 500<W≤5000 | 35 | ||
| 5000<W≤20000 | 50 | ||
| 棉、麻、毛、化纤百货(t) | 10<W≤500 | 20 | |
| 500<W≤1000 | 35 | ||
| 1000<W≤5000 | 50 | ||
| 稻草、麦秸、芦苇 等易燃材料(t) | 50<W≤500 | 20 | |
| 500<W≤5000 | 35 | ||
| 5000<W≤10000 | 50 | ||
| W>10000 | 60 | ||
| 木材等可燃材料(m³) | 50<V≤1000 | 20 | |
| 1000<V≤5000 | 30 | ||
| 5000<V≤10000 | 45 | ||
| V>10000 | 55 | ||
| 煤和焦炭(t) | 露天或 半露天堆放 | 100<W≤5000 | 15 |
| W>5000 | 20 | ||
| 可燃气体储罐或储罐区(m³) | 500<V≤10000 | 15 | |
| 10000<V≤50000 | 20 | ||
| 50000<V≤100000 | 25 | ||
| 100000<V≤200000 | 30 | ||
| V>200000 | 35 | ||
注:1 固定容积的可燃气体储罐的总容积按其几何容积(m³) 和设计工作压力(绝 对压力,10⁵Pa)的乘积计算;
2 当稻草、麦秸、芦苇等易燃材料堆垛单垛重量大于5000t 或总重量大于 50000t、木材等可燃材料堆垛单垛容量大于5000m³或总容量大于50000m³ 时,室外消火栓设计流量应按本表规定的最大值增加一倍。
3.4.13 城市交通隧道洞口外室外消火栓设计流量不应小于表3.4.13的规定。
表3.4.13 城市交通隧道洞口外室外消火栓设计流量
| 名称 | 类别 | 长度(m) | 室外消火栓设计流量 (L/s) |
| 可通行危险化学 品等机动车 | 一、二 | L>500 | 30 |
| 三 | L≤500 | 20 | |
| 仅限通行非危险 化学品等机动车 | 一、二、三 | L≥1000 | 30 |
| 三 | L<1000 | 20 |
3.5 室内消火栓设计流量
3.5.1 建筑物室内消火栓设计流量,应根据建筑物的用途功能、 体积、高度、耐火等级、火灾危险性等因素综合确定。
3.5.2 建筑物室内消火栓设计流量不应小于表3.5.2的规定。
表3.5.2 建筑物室内消火栓设计流量
| 建筑物名称 | 高度h(m)、层数 体积V(m³) 座位数n(个)、 火灾危险性 | 消火栓 设计 流量 (L/s) | 同时使用 消防水 枪数 (支) | 每根竖管 最小流量 (L/s) | |||
| I 业 建 筑 | 厂房 | h≤24 | 甲、乙、丁、戊 | 10 | 2 | 10 | |
| 丙 | V≤5000 | 10 | 2 | 10 | |||
| V>5000 | 20 | 4 | 15 | ||||
| 24<h ≤50 | 乙、丁、戊 | 25 | 5 | 15 | |||
| 丙 | 30 | 6 | 15 | ||||
| h>50 | 乙、丁、戊 | 30 | 6 | 15 | |||
| 丙 | 40 | 8 | 15 | ||||
| 仓库 | h≤24 | 甲、乙、丁、戊 | 10 | 2 | 10 | ||
| 丙 | V≤5000 | 15 | 3 | 15 | |||
| V>5000 | 25 | 5 | 15 | ||||
| h>24 | 丁、戊 | 30 | 6 | 15 | |||
| 丙 | 40 | 8 | 15 | ||||
续表3.5.2
| 建筑物名称 | 高度h(m)、层数、 体积V(m³)、 座位数n(个)、 火灾危险性 | 消火栓 设计 流量 (L/s) | 同时使用 消防水 枪数 (支) | 每根竖管 最小流量 (L/s) | ||
| 民 用 建 筑 | 单层 及多层 | 科研楼、试验楼 | V≤10000 | 10 | 2 | 10 |
| V>10000 | 15 | 3 | 10 | |||
| 车站、码头、机场的 候车(船、机)楼和 展览建筑(包括 博物馆)等 | 5000<V≤25000 | 10 | 2 | 10 | ||
| 25000<V≤50000 | 15 | 3 | 10 | |||
| V>50000 | 20 | 4 | 15 | |||
| 剧场、电影院、会堂、 礼堂、体育馆等 | 800<n≤1200 | 10 | 2 | 10 | ||
| 1200<n≤5000 | 15 | 3 | 10 | |||
| 5000<n≤10000 | 20 | 4 | 15 | |||
| n>10000 | 30 | 6 | 15 | |||
| 旅馆 | 5000<V 10000 | 10 | 2 | 10 | ||
| 10000<V≤25000 | 15 | 3 | 10 | |||
| V>25000 | 20 | 4 | 15 | |||
| 商店、图书馆、 档案馆等 | 5000<V≤10000 | 15 | 3 | 10 | ||
| 10000<V≤25000 | 25 | 5 | 15 | |||
| V>25000 | 40 | 8 | 15 | |||
| 病房楼、门诊楼等 | 5000<V≤25000 | 10 | 2 | 10 | ||
| V>25000 | 15 | 3 | 10 | |||
| 办公楼、教学楼、 公寓、宿舍等其他建筑 | 高度超过15m或 V>10000 | 15 | 3 | 10 | ||
| 住宅 | 21<h≤27 | 5 | 2 | 5 | ||
| 高层 | 住宅 | 27<h≤54 | 10 | 2 | 10 | |
| h>54 | 20 | 4 | 10 | |||
| 二类公共建筑 | h≤50 | 20 | 4 | 10 | ||
| 一类公共建筑 | h≤50 | 30 | 6 | 15 | ||
| h>50 | 40 | 8 | 15 | |||
续表3.5.2
| 建筑物名称 | 高度h(m)、层数、 体积V(m³)、 座位数n(个)、 火灾危险性 | 消火栓 设计 流量 (L/s) | 同时使用 消防水 枪数 (支) | 每根竖管 最小流量 (L/s) | |
| 国家级文物保护单位的重点 砖木或木结构的古建筑 | V≤10000 | 20 | 4 | 10 | |
| V>10000 | 25 | 5 | 15 | ||
| 地下建筑 | V≤5000 | 10 | 2 | 10 | |
| 5000<V≤10000 | 20 | 4 | 15 | ||
| 10000<V≤25000 | 30 | 6 | 15 | ||
| V>25000 | 40 | 8 | 20 | ||
| 人 防 工 程 | 展览厅、影院、剧场、 礼堂、健身体育场所等 | V≤1000 | 5 | 1 | 5 |
| 1000<V≤2500 | 10 | 2 | 10 | ||
| V>2500 | 15 | 3 | 10 | ||
| 商场、餐厅、旅馆、医院等 | V≤5000 | 5 | 1 | 5 | |
| 5000<V≤10000 | 10 | 2 | 10 | ||
| 10000<V≤25000 | 15 | 3 | 10 | ||
| V>25000 | 20 | 4 | 10 | ||
| 丙、丁、戊类生产 车间、自行车库 | V≤2500 | 5 | 1 | 5 | |
| V>2500 | 10 | 2 | 10 | ||
| 丙、丁、戊类物品库房、 图书资料档案库 | V≤3000 | 5 | 1 | 5 | |
| V>3000 | 10 | 2 | 10 | ||
注:1 丁、戊类高层厂房(仓库)室内消火栓的设计流量可按本表减少10L/s, 同时 使用消防水枪数量可按本表减少2支;
2 消防软管卷盘、轻便消防水龙及多层住宅楼梯间中的干式消防竖管,其消 火栓设计流量可不计人室内消防给水设计流量;
3 当一座多层建筑有多种使用功能时,室内消火栓设计流量应分别按本表中 不同功能计算,且应取最大值。
3.5.3 当建筑物室内设有自动喷水灭火系统、水喷雾灭火系统、泡 沫灭火系统或固定消防炮灭火系统等 一 种或两种以上自动水灭火 系统全保护时,高层建筑当高度不超过50m 且室内消火栓设计流量 超过20L/s 时,其室内消火栓设计流量可按本规范表3.5.2 减少
5L/s; 多层建筑室内消火栓设计流量可减少50%,但不应小于10L/s 。 3.5.4 宿舍、公寓等非住宅类居住建筑的室内消火栓设计流量, 当为多层建筑时,应按本规范表3.5.2中的宿舍、公寓确定,当为 高层建筑时,应按本规范表3.5.2中的公共建筑确定。
3.5.5 城市交通隧道内室内消火栓设计流量不应小于表3.5.5 的规定。
表3.5.5 城市交通隧道内室内消火栓设计流量
| 用途 | 类别 | 长度(m) | 设计流量(L/s) |
| 可通行危险化学品 等机动车 | 一、二 | L>500 | 20 |
| 三 | L≤500 | 10 | |
| 仅限通行非危险 化学品等机动车 | 一、二、三 | L≥1000 | 20 |
| 三 | L<1000 | 10 |
3.5.6 地铁地下车站室内消火栓设计流量不应小于20L/s,区间 隧道不应小于10L/s。
3.6 消防用水量
3.6.1 消防给水一起火灾灭火用水量应按需要同时作用的室内 外消防给水用水量之和计算,两座及以上建筑合用时,应取最大者,并应按下列公式计算:

n——建筑需要同时作用的室外水灭火系统数量; qz₁——室内第 i 种水灭火系统的设计流量(L/s);
tz:—— 室内第 i 种水灭火系统的火灾延续时间(h); m——建筑需要同时作用的室内水灭火系统数量。
3.6.2 不同场所消火栓系统和固定冷却水系统的火灾延续时间 不应小于表3.6.2的规定。
表3.6.2 不同场所的火灾延续时间
| 建 筑 | 场所与火灾危险性 | 火灾延续 时间(h) | ||
| 建 筑 物 | 工业 建筑 | 仓库 | 甲、乙、丙类仓库 | 3.0 |
| 丁、戊类仓库 | 2.0 | |||
| 厂房 | 甲、乙、丙类厂房 | 3.0 | ||
| 工,戊类厂房 | 2.0 | |||
| 民用 建筑 | 公共建筑 | 高层建筑中的商业楼、展览 楼、综合楼,建筑高度大于 50m的财贸金融楼、图书馆、 书库、重要的档案楼、科研楼 和高级宾馆等 | 3.0 | |
| 其他公共建筑 | 2.0 | |||
| 住宅 | ||||
| 人防工程 | 建筑面积小于3000m² | 1.0 | ||
| 建筑面积大于或等于3000m | 2.0 | |||
| 地下建筑、地铁车站 | ||||
| 构筑物 | 煤、天然气、石油及其 产品的工艺装置 | — | 3.0 | |
| 甲、乙、丙类 可燃液体储罐 | 直径大于20m的固定顶罐 和直径大于20m浮盘用易熔 材料制作的内浮顶罐 | 6.0 | ||
| 其他储罐 | 4.0 | |||
| 覆土油罐 | ||||
| 建 筑 | 场所与火灾危险性 | 火灾延续 时间(h) | |
| 构筑物 | 液化烃储罐、沸点低于45℃甲类液体、液氨储罐 | 6.0 | |
| 空分站,可燃液体、液化烃的火车和汽车装卸栈台 | 3.0 | ||
| 变电站 | 2.0 | ||
| 装卸油品码斗 | 甲、乙类可燃液体油品一级 码头 | 6.0 | |
| 甲、乙类可燃液体油品二 三级码头 丙类可燃液体油品码头 | 4.0 | ||
| 海港油品码头 | 6.0 | ||
| 河港油品码头 | 4.0 | ||
| 码头装卸区 | 2.0 | ||
| 装卸液化石油气船码头 | 6.0 | ||
| 液 化 石 油 气 加 气站 | 地上储气罐加气站 | 3.0 | |
| 埋地储气罐加气站 | 1.0 | ||
| 加油和液化石油气加合建站 | |||
| 易燃、可燃材料 露天、半露天堆场, 可燃气体罐区 | 粮食土圆囤、席穴囤 | 6.0 | |
| 棉、麻、毛、化纤百货 | |||
| 稻草、麦秸、芦苇等 | |||
| 木材等 | |||
| 露天或半露天堆放煤和焦炭 | 3.0 | ||
| 可燃气体储罐 | |||
3.6.3 自动喷水灭火系统、泡沫灭火系统、水喷雾灭火系统、固定 消防炮灭火系统、自动跟踪定位射流灭火系统等水灭火系统的火 灾延续时间,应分别按现行国家标准《自动喷水灭火系统设计规 范》GB50084、《泡沫灭火系统设计规范》GB 50151、《水喷雾灭火系统设计规范》GB 50219 和《固定消防炮灭火系统设计规范》 GB 50338 的有关规定执行。
3.6.4 建筑内用于防火分隔的防火分隔水幕和防护冷却水幕的 火灾延续时间,不应小于防火分隔水幕或防护冷却火幕设置部位 墙体的耐火极限。
3.6.5 城市交通隧道的火灾延续时间不应小于表3.6.5的规定, 一类城市交通隧道的火灾延续时间应根据火灾危险性分析确定, 确有困难时,可按不小于3.0h 计。
表3.6.5 城市交通隧道的火灾延续时间
| 用 途 | 类别 | 长度(m) | 火灾延续时间(h) |
| 可通行危险 化学品等机动车 | 二 | 500<L≤1500 | 3.0 |
| 三 | L≤500 | 2.0 | |
| 仅限通行非危险 化学品等机动车 | 二 | 1500<L≤3000 | 3.0 |
| 三 | 500<L≤1500 | 2.0 |
4.1 一 般 规 定
4.1.1 在城乡规划区域范围内,市政消防给水应与市政给水管网 同步规划、设计与实施。
4.1.2 消防水源水质应满足水灭火设施的功能要求。
4.1.3 消防水源应符合下列规定:
1 市政给水、消防水池、天然水源等可作为消防水源,并宜采 用市政给水;
2 雨水清水池、中水清水池、水景和游泳池可作为备用消防 水源。
4.1.4 消防给水管道内平时所充水的pH 值应为6.0~9.0。
4.1.5 严寒、寒冷等冬季结冰地区的消防水池、水塔和高位消防 水池等应采取防冻措施。
4.1.6 雨水清水池、中水清水池、水景和游泳池必须作为消防水 源时,应有保证在任何情况下均能满足消防给水系统所需的水量 和水质的技术措施。
4.2 市 政 给 水
4.2.1 当市政给水管网连续供水时,消防给水系统可采用市政给 水管网直接供水。
4.2.2 用作两路消防供水的市政给水管网应符合下列要求:
1 市政给水厂应至少有两条输水干管向市政给水管网输水; 2 市政给水管网应为环状管网;
3 应至少有两条不同的市政给水干管上不少于两条引入管 向消防给水系统供水。
4.3.1 符合下列规定之一时,应设置消防水池:
1 当生产、生活用水量达到最大时,市政给水管网或人户引 入管不能满足室内、室外消防给水设计流量;
2 当采用一路消防供水或只有一条入户引入管,且室外消火 栓设计流量大于20L/s 或建筑高度大于50m;
3 市政消防给水设计流量小于建筑室内外消防给水设计 流量。
4.3.2 消防水池有效容积的计算应符合下列规定:
1 当市政给水管网能保证室外消防给水设计流量时,消防水 池的有效容积应满足在火灾延续时间内室内消防用水量的要求;
2 当市政给水管网不能保证室外消防给水设计流量时,消防 水池的有效容积应满足火灾延续时间内室内消防用水量和室外消 防用水量不足部分之和的要求。
4.3.3 消防水池进水管应根据其有效容积和补水时间确定,补水 时间不宜大于48h, 但当消防水池有效总容积大于2000m³ 时,不 应 大 于 9 6h 。消防水池进水管管径应经计算确定,且不应小于 DN100。
4.3.4 当消防水池采用两路消防供水且在火灾情况下连续补水 能满足消防要求时,消防水池的有效容积应根据计算确定,但不应 小于100m³, 当仅设有消火栓系统时不应小于50m³。
4.3.5 火灾时消防水池连续补水应符合下列规定:
1 消防水池应采用两路消防给水;
2 火灾延续时间内的连续补水流量应按消防水池最不利进 水管供水量计算,并可按下式计算:
qr=3600Av (4.3.5)
式 中 :qt——火灾时消防水池的补水流量(m³/h);
A- 消防水池进水管断面面积(m²);
3 消防水池进水管管径和流量应根据市政给水管网或其他 给水管网的压力、入户引入管管径、消防水池进水管管径,以及火 灾时其他用水量等经水力计算确定,当计算条件不具备时,给水管 的平均流速不宜大于1.5m/s。
4.3.6 消防水池的总蓄水有效容积大于500m³ 时,宜设两格能 独立使用的消防水池;当大于1000m³ 时,应设置能独立使用的 两座消防水池。每格(或座)消防水池应设置独立的出水管,并 应设置满足最低有效水位的连通管,且其管径应能满足消防给 水设计流量的要求。
4.3.7 储存室外消防用水的消防水池或供消防车取水的消防水 池,应符合下列规定:
1 消防水池应设置取水口(井),且吸水高度不应大于6.0m; 2 取水口(井)与建筑物(水泵房除外)的距离不宜小于15m;
3 取水口(井)与甲、乙、丙类液体储罐等构筑物的距离不宜 小于40m;
4 取水口(井)与液化石油气储罐的距离不宜小于60m, 当采取防止辐射热保护措施时,可为40m。
4.3.8 消防用水与其他用水共用的水池,应采取确保消防用水量不作他用的技术措施。
4.3.9 消防水池的出水、排水和水位应符合下列规定:
1 消防水池的出水管应保证消防水池的有效容积能被全部 利用;
2 消防水池应设置就地水位显示装置,并应在消防控制中心 或值班室等地点设置显示消防水池水位的装置,同时应有最高和最低报警水位;
3 消防水池应设置溢流水管和排水设施,并应采用间接排水。
4.3.10 消防水池的通气管和呼吸管等应符合下列规定:
1 消防水池应设置通气管;
2 消防水池通气管、呼吸管和溢流水管等应采取防止虫鼠等 进入消防水池的技术措施。
4.3.11 高位消防水池的最低有效水位应能满足其所服务的水灭 火设施所需的工作压力和流量,且其有效容积应满足火灾延续时 间内所需消防用水量,并应符合下列规定:
1 高位消防水池的有效容积、出水、排水和水位,应符合本规 范第4.3.8条和第4.3.9条的规定;
2 高位消防水池的通气管和呼吸管等应符合本规范第 4.3.10条的规定;
3 除可一路消防供水的建筑物外,向高位消防水池供水的给 水管不应少于两条;
4 当高层民用建筑采用高位消防水池供水的高压消防给水 系统时,高位消防水池储存室内消防用水量确有困难,但火灾时补 水可靠,其总有效容积不应小于室内消防用水量的50%;
5 高层民用建筑高压消防给水系统的高位消防水池总有效 容积大于200m³时,宜设置蓄水有效容积相等且可独立使用的两 格;当建筑高度大于100m 时应设置独立的两座。每格或座应有 一条独立的出水管向消防给水系统供水;
6 高位消防水池设置在建筑物内时,应采用耐火极限不低于 2.00h 的隔墙和1.50h 的楼板与其他部位隔开,并应设甲级防火 门;且消防水池及其支承框架与建筑构件应连接牢固。
4.4 天然水源及其他
4.4.1 井水等地下水源可作为消防水源。
4.4.2 井水作为消防水源向消防给水系统直接供水时,其最不利 水位应满足水泵吸水要求,其最小出流量和水泵扬程应满足消防 要求,且当需要两路消防供水时,水井不应少于两眼,每眼井的深 井泵的供电均应采用一级供电负荷。
4.4.3 江、河、湖、海、水库等天然水源的设计枯水流量保证率应 根据城乡规模和工业项目的重要性、火灾危险性和经济合理性等 综合因素确定,宜为90%~97%。但村镇的室外消防给水水源的 设计枯水流量保证率可根据当地水源情况适当降低。
4.4.4 当室外消防水源采用天然水源时,应采取防止冰凌、漂浮 物、悬浮物等物质堵塞消防水泵的技术措施,并应采取确保安全取 水的措施。
4.4.5 当天然水源等作为消防水源时,应符合下列规定:
1 当地表水作为室外消防水源时,应采取确保消防车、固定 和移动消防水泵在枯水位取水的技术措施;当消防车取水时,最大 吸水高度不应超过6.0m;
2 当井水作为消防水源时,还应设置探测水井水位的水位测 试装置。
4.4.6 天然水源消防车取水口的设置位置和设施,应符合现行国 家标准《室外给水设计规范》GB 50013中有关地表水取水的规定, 且取水头部宜设置格栅,其栅条间距不宜小于50mm, 也可采用过 滤管。
4.4.7 设有消防车取水口的天然水源,应设置消防车到达取水口 的消防车道和消防车回车场或回车道。
5 供 水 设 施
5.1 消 防 水 泵
5.1.1 消防水泵宜根据可靠性、安装场所、消防水源、消防给水设 计流量和扬程等综合因素确定水泵的型式,水泵驱动器宜采用电 动机或柴油机直接传动,消防水泵不应采用双电动机或基于柴油 机等组成的双动力驱动水泵。
5.1.2 消防水泵机组应由水泵、驱动器和专用控制柜等组成; 一 组消防水泵可由同一消防给水系统的工作泵和备用泵组成。
5.1.3 消防水泵生产厂商应提供完整的水泵流量扬程性能曲线, 并应标示流量、扬程、气蚀余量、功率和效率等参数。
5.1.4 单台消防水泵的最小额定流量不应小于10L/s, 最大额定 流量不宜大于320L/s。
5.1.5 当消防水泵采用离心泵时,泵的型式宜根据流量、扬程、气 蚀余量、功率和效率、转速、噪声,以及安装场所的环境要求等因素 综合确定。
5.1.6 消防水泵的选择和应用应符合下列规定:
1 消防水泵的性能应满足消防给水系统所需流量和压力的 要求;
2 消防水泵所配驱动器的功率应满足所选水泵流量扬程性 能曲线上任何一点运行所需功率的要求;
3 当采用电动机驱动的消防水泵时,应选择电动机干式安装 的消防水泵;
4 流量扬程性能曲线应为无驼峰、无拐点的光滑曲线,零流 量时的压力不应大于设计工作压力的140%,且宜大于设计工作 压力的120%;
5 当出流量为设计流量的150%时,其出口压力不应低于设 计工作压力的65%;
6 泵轴的密封方式和材料应满足消防水泵在低流量时运转 的要求;
7 消防给水同一泵组的消防水泵型号宜一致,且工作泵不宜 超过3台;
8 多台消防水泵并联时,应校核流量叠加对消防水泵出口压 力的影响。
5.1.7 消防水泵的主要材质应符合下列规定:
1 水泵外壳宜为球墨铸铁;
2 叶轮宜为青铜或不锈钢。
5.1.8 当采用柴油机消防水泵时应符合下列规定:
1 柴油机消防水泵应采用压缩式点火型柴油机;
2 柴油机的额定功率应校核海拔高度和环境温度对柴油机 功率的影响;
3 柴油机消防水泵应具备连续工作的性能,试验运行时间不 应小于24h;
4 柴油机消防水泵的蓄电池应保证消防水泵随时自动启泵 的要求;
5 柴油机消防水泵的供油箱应根据火灾延续时间确定,且油 箱最小有效容积应按1.5L/kW 配置,柴油机消防水泵油箱内储 存的燃料不应小于50%的储量。
5.1.9 轴流深井泵宜安装于水井、消防水池和其他消防水源上, 并应符合下列规定;
1 轴流深井泵安装于水井时,其淹没深度应满足其可靠运行 的要求,在水泵出流量为150%设计流量时,其最低淹没深度应是第一个水泵叶轮底部水位线以上不少于3.20m, 且海拔高度每增 加300m, 深井泵的最低淹没深度应至少增加0.30m;
2 轴流深井泵安装在消防水池等消防水源上时,其第一个水泵叶轮底部应低于消防水池的最低有效水位线,且淹没深度应根 据水力条件经计算确定,并应满足消防水池等消防水源有效储水 量或有效水位能全部被利用的要求;当水泵设计流量大于125L/s 时,应根据水泵性能确定淹没深度,并应满足水泵气蚀余量的 要求;
3 轴流深井泵的出水管与消防给水管网连接应符合本规范 第5.1.13条第3款的规定;
4 轴流深井泵出水管的阀门设置应符合本规范第5.1.13条 第5款和第6款的规定;
5 当消防水池最低水位低于离心水泵出水管中心线或水源 水位不能保证离心水泵吸水时,可采用轴流深井泵,并应采用湿式 深坑的安装方式安装于消防水池等消防水源上;
6 当轴流深井泵的电动机露天设置时,应有防雨功能;
7 其他应符合现行国家标准《室外给水设计规范》GB 50013 的有关规定。
5.1.10 消防水泵应设置备用泵,其性能应与工作泵性能一致,但 下列建筑除外:
1 建筑高度小于54m 的住宅和室外消防给水设计流量小于 等于25L/s 的建筑;
2 室内消防给水设计流量小于等于10L/s 的建筑。
5.1.11 一组消防水泵应在消防水泵房内设置流量和压力测试装 置,并应符合下列规定:
1 单台消防水泵的流量不大于20L/s、设计工作压力不大于 0.50MPa 时,泵组应预留测量用流量计和压力计接口,其他泵组 宜设置泵组流量和压力测试装置;
2 消防水泵流量检测装置的计量精度应为0.4级,最大量程 的75%应大于最大一台消防水泵设计流量值的175%;
3 消防水泵压力检测装置的计量精度应为0.5级,最大量程 的75%应大于最大一台消防水泵设计压力值的165%;
4 每台消防水泵出水管上应设置 DN65 的试水管,并应采取 排水措施。
5.1.12 消防水泵吸水应符合下列规定:
1 消防水泵应采取自灌式吸水;
2 消防水泵从市政管网直接抽水时,应在消防水泵出水管上 设置有空气隔断的倒流防止器;
3 当吸水口处无吸水井时,吸水口处应设置旋流防止器。
5.1.13 离心式消防水泵吸水管、出水管和阀门等,应符合下列 规定:
1 一组消防水泵,吸水管不应少于两条,当其中一条损坏或 检修时,其余吸水管应仍能通过全部消防给水设计流量;
2 消防水泵吸水管布置应避免形成气囊;
3 一组消防水泵应设不少于两条的输水干管与消防给水环 状管网连接,当其中一条输水管检修时,其余输水管应仍能供应全 部消防给水设计流量;
4 消防水泵吸水口的淹没深度应满足消防水泵在最低水 位运行安全的要求,吸水管喇叭口在消防水池最低有效水位下 的淹没深度应根据吸水管喇叭口的水流速度和水力条件确定, 但不应小于600mm, 当采用旋流防止器时,淹没深度不应小于 200mm;
5 消防水泵的吸水管上应设置明杆闸阀或带自锁装置的蝶 阀,但当设置暗杆阀门时应设有开启刻度和标志;当管径超过 DN300 时,宜设置电动阀门;
6 消防水泵的出水管上应设止回阀、明杆闸阀;当采用蝶阀 时,应带有自锁装置;当管径大于DN300 时,宜设置电动阀门;
7 消防水泵吸水管的直径小于 DN250 时,其流速宜为 1.0m/s~1.2m/s; 直径大于DN250 时,宜为1.2m/s~1.6m/s;
8 消防水泵出水管的直径小于 DN250 时,其流速宜为 1.5m/s~2.0m/s; 直径大于DN250 时,宜为2.0m/s~2.5m/s;
9 吸水井的布置应满足井内水流顺畅、流速均匀、不产生涡 漩的要求,并应便于安装施工;
10 消防水泵的吸水管、出水管道穿越外墙时,应采用防水套 管;当穿越墙体和楼板时,应符合本规范第12.3.19 条第5款的 要求;
11 消防水泵的吸水管穿越消防水池时,应采用柔性套管;采 用刚性防水套管时应在水泵吸水管上设置柔性接头,且管径不应大于DN150。
5.1.14 当有两路消防供水且允许消防水泵直接吸水时,应符合 下列规定:
1 每一路消防供水应满足消防给水设计流量和火灾时必须 保证的其他用水;
2 火灾时室外给水管网的压力从地面算起不应小于0.10MPa;
3 消防水泵扬程应按室外给水管网的最低水压计算,并应以 室外给水的最高水压校核消防水泵的工作工况。
5.1.15 消防水泵吸水管可设置管道过滤器,管道过滤器的过水 面积应大于管道过水面积的4倍,且孔径不宜小于3mm。
5.1.16 临时高压消防给水系统应采取防止消防水泵低流量空转 过热的技术措施。
5.1.17 消防水泵吸水管和出水管上应设置压力表,并应符合下 列规定:
1 消防水泵出水管压力表的最大量程不应低于其设计工作 压力的2倍,且不应低于1.60MPa;
2 消防水泵吸水管宜设置真空表、压力表或真空压力表,压 力表的最大量程应根据工程具体情况确定,但不应低于 0.70MPa, 真空表的最大量程宜为一0.10MPa;
3 压力表的直径不应小于100mm, 应采用直径不小于6mm 的管道与消防水泵进出口管相接,并应设置关断阀门。
5.2 高位消防水箱
5.2.1 临时高压消防给水系统的高位消防水箱的有效容积应满 足初期火灾消防用水量的要求,并应符合下列规定:
1 一类高层公共建筑,不应小于36m²³,但当建筑高度大于 100m 时,不应小于50m³, 当建筑高度大于150m 时,不应小于 100m³;
2 多层公共建筑、二类高层公共建筑和一类高层住宅,不应 小于18m³, 当一类高层住宅建筑高度超过100m 时,不应小于 36m³;
3 二类高层住宅,不应小于12m²;
4 建筑高度大于21m 的多层住宅,不应小于6m³;
5 工业建筑室内消防给水设计流量当小于或等于25L/s 时,不应小于12m³, 大于25L/s 时,不应小于18m³;
6 总建筑面积大于10000m²且小于30000m²的商店建筑,不 应小于36m³, 总建筑面积大于30000m²的商店,不应小于50m³, 当与本条第1款规定不一致时应取其较大值。
5.2.2 高位消防水箱的设置位置应高于其所服务的水灭火设施, 且最低有效水位应满足水灭火设施最不利点处的静水压力,并应 按下列规定确定:
1 一类高层公共建筑,不应低于0.10MPa, 但当建筑高度超过100m 时,不应低于0.15MPa;
2 高层住宅、二类高层公共建筑、多层公共建筑,不应低于 0.07MPa, 多层住宅不宜低于0.07MPa;
3 工业建筑不应低于0.10MPa, 当建筑体积小于20000m³ 时,不宜低于0.07MPa;
4 自动喷水灭火系统等自动水灭火系统应根据喷头灭火需 求压力确定,但最小不应小于0.10MPa;
5 当高位消防水箱不能满足本条第1款~第4款的静压要求时,应设稳压泵。
5.2.3 高位消防水箱可采用热浸锌镀锌钢板、钢筋混凝土、不锈 钢板等建造。
5.2.4 高位消防水箱的设置应符合下列规定:
1 当高位消防水箱在屋顶露天设置时,水箱的人孔以及进出 水管的阀门等应采取锁具或阀门箱等保护措施;
2 严寒、寒冷等冬季冰冻地区的消防水箱应设置在消防水箱 间内,其他地区宜设置在室内,当必须在屋顶露天设置时,应采取 防冻隔热等安全措施;
3 高位消防水箱与基础应牢固连接。
5.2.5 高位消防水箱间应通风良好,不应结冰,当必须设置在严 寒、寒冷等冬季结冰地区的非采暖房间时,应采取防冻措施,环境 温度或水温不应低于5℃。
5.2.6 高位消防水箱应符合下列规定:
1 高位消防水箱的有效容积、出水、排水和水位等,应符合本 规范第4 .3 .8条和第4 .3 .9条的规定;
2 高位消防水箱的最低有效水位应根据出水管喇叭口和防 止旋流器的淹没深度确定,当采用出水管喇叭口时,应符合本规范 第5 . 1 . 13条第4款的规定;当采用防止旋流器时应根据产品确 定,且不应小于150mm 的保护高度;
3 高 位 消 防 水 箱 的 通 气 管 、 呼 吸 管 等 应 符 合 本 规 范 第 4.3.10条的规定;
4 高位消防水箱外壁与建筑本体结构墙面或其他池壁之间 的净距,应满足施工或装配的需要,无管道的侧面,净距不宜小于 0.7m; 安装有管道的侧面,净距不宜小于1.0m, 且管道外壁与建 筑本体墙面之间的通道宽度不宜小于0 .6m, 设有人孔的水箱顶, 其顶面与其上面的建筑物本体板底的净空不应小于0.8m;
5 进水管的管径应满足消防水箱8h 充满水的要求,但管径 不应小于DN32, 进水管宜设置液位阀或浮球阀;
6 进水管应在溢流水位以上接入,进水管口的最低点高出溢 流边缘的高度应等于进水管管径,但最小不应小于100mm, 最大 不应大于150mm;
7 当进水管为淹没出流时,应在进水管上设置防止倒流的措 施或在管道上设置虹吸破坏孔和真空破坏器,虹吸破坏孔的孔径 不宜小于管径的1/5,且不应小于25mm。 但当采用生活给水系统 补水时,进水管不应淹没出流;
8 溢流管的直径不应小于进水管直径的2倍,且不应小于 DN100, 溢流管的喇叭口直径不应小于溢流管直径的1.5倍~ 2.5倍;
9 高位消防水箱出水管管径应满足消防给水设计流量的出 水要求,且不应小于 DN100;
10 高位消防水箱出水管应位于高位消防水箱最低水位以 下,并应设置防止消防用水进入高位消防水箱的止回阀;
11 高位消防水箱的进、出水管应设置带有指示启闭装置的 阀门。
5.3 稳 压 泵
5.3.1 稳压泵宜采用离心泵,并宜符合下列规定:
1 宜采用单吸单级或单吸多级离心泵;
2 泵外壳和叶轮等主要部件的材质宜采用不锈钢。
5.3.2 稳压泵的设计流量应符合下列规定:
1 稳压泵的设计流量不应小于消防给水系统管网的正常泄 漏量和系统自动启动流量;
2 消防给水系统管网的正常泄漏量应根据管道材质、接口形 式等确定,当没有管网泄漏量数据时,稳压泵的设计流量宜按消防 给水设计流量的1%~3%计,且不宜小于1L/s;
3 消防给水系统所采用报警阀压力开关等自动启动流量应 根据产品确定。
5.3.3 稳压泵的设计压力应符合下列要求:
1 稳压泵的设计压力应满足系统自动启动和管网充满水的 要求;
2 稳压泵的设计压力应保持系统自动启泵压力设置点处的 压力在准工作状态时大于系统设置自动启泵压力值,且增加值宜 为0.07MPa~0.10MPa;
3 稳压泵的设计压力应保持系统最不利点处水灭火设施在 准工作状态时的静水压力应大于0.15MPa。
5.3.4 设置稳压泵的临时高压消防给水系统应设置防止稳压泵 频繁启停的技术措施,当采用气压水罐时,其调节容积应根据稳压 泵启泵次数不大于15次/h 计算确定,但有效储水容积不宜小于150L。
5.3.5 稳压泵吸水管应设置明杆闸阀,稳压泵出水管应设置消声 止回阀和明杆闸阀。
5.3.6 稳压泵应设置备用泵。
5.4 消防水泵接合器
5.4.1 下列场所的室内消火栓给水系统应设置消防水泵接合器:
1 高层民用建筑;
2 设有消防给水的住宅、超过五层的其他多层民用建筑;
3 超过2层或建筑面积大于10000m² 的地下或半地下建筑 (室)、室内消火栓设计流量大于10L/s 平战结合的人防工程;
4 高层工业建筑和超过四层的多层工业建筑;
5 城市交通隧道。
5.4.2 自动喷水灭火系统、水喷雾灭火系统、泡沫灭火系统和固 定消防炮灭火系统等水灭火系统,均应设置消防水泵接合器。
5.4.3 消防水泵接合器的给水流量宜按每个10L/s~15L/s 计 算。每种水灭火系统的消防水泵接合器设置的数量应按系统设计 流量经计算确定,但当计算数量超过3个时,可根据供水可靠性适当减少。
5.4.4 临时高压消防给水系统向多栋建筑供水时,消防水泵接合 器应在每座建筑附近就近设置。
5.4.5 消防水泵接合器的供水范围,应根据当地消防车的供水流 量和压力确定。
5.4.6 消防给水为竖向分区供水时,在消防车供水压力范围内的 分区,应分别设置水泵接合器;当建筑高度超过消防车供水高度 时,消防给水应在设备层等方便操作的地点设置手抬泵或移动泵 接力供水的吸水和加压接口。
5.4.7 水泵接合器应设在室外便于消防车使用的地点,且距室外消火栓或消防水池的距离不宜小于15m, 并不宜大于40m。
5.4.8 墙壁消防水泵接合器的安装高度距地面宜为0.70m;与墙 面上的门、窗、孔、洞的净距离不应小于2.0m, 且不应安装在玻璃 幕墙下方;地下消防水泵接合器的安装,应使进水口与井盖底面的 距离不大于0.40m, 且不应小于井盖的半径。
5.4.9 水泵接合器处应设置永久性标志铭牌,并应标明供水系 统、供水范围和额定压力。
5.5 消防水泵房
5.5.1 消防水泵房应设置起重设施,并应符合下列规定:
1 消防水泵的重量小于0.5t时,宜设置固定吊钩或移动 吊架;
2 消防水泵的重量为0.5t~3t 时,宜设置手动起重设备;
3 消防水泵的重量大于3t 时,应设置电动起重设备。
5.5.2 消防水泵机组的布置应符合下列规定:
1 相邻两个机组及机组至墙壁间的净距,当电机容量小于 22kW 时,不宜小于0.60m; 当电动机容量不小于22kW, 且不大于 55kW 时,不宜小于0.8m; 当电动机容量大于55kW 且小于 255kW 时,不宜小于1.2m; 当电动机容量大于255kW 时,不宜小于1.5m;
2 当消防水泵就地检修时,应至少在每个机组一侧设消防水 泵机组宽度加0.5m的通道,并应保证消防水泵轴和电动机转子 在检修时能拆卸;
3 消防水泵房的主要通道宽度不应小于1.2m。
5.5.3 当采用柴油机消防水泵时,机组间的净距宜按本规范第
5.5.2条规定值增加0.2m,但不应小于1.2m。
5.5.4 当消防水泵房内设有集中检修场地时,其面积应根据水泵 或电动机外形尺寸确定,并应在周围留有宽度不小于0.7m的通 道。地下式泵房宜利用空间设集中检修场地。对于装有深井水泵 的湿式竖井泵房,还应设堆放泵管的场地。
5.5.5 消防水泵房内的架空水管道,不应阻碍通道和跨越电气设 备,当必须跨越时,应采取保证通道畅通和保护电气设备的措施。
5.5.6 独立的消防水泵房地面层的地坪至屋盖或天花板等的突 出构件底部间的净高,除应按通风采光等条件确定外,且应符合下 列规定:
1 当采用固定吊钩或移动吊架时,其值不应小于3.0m;
2 当采用单轨起重机时,应保持吊起物底部与吊运所越过物 体顶部之间有0.50m以上的净距;
3 当采用桁架式起重机时,除应符合本条第2款的规定外, 还应另外增加起重机安装和检修空间的高度。
5.5.7 当采用轴流深井水泵时,水泵房净高应按消防水泵吊装和 维修的要求确定,当高度过高时,应根据水泵传动轴长度产品规格 选择较短规格的产品。
5.5.8 消防水泵房应至少有一个可以搬运最大设备的门。
5.5.9 消防水泵房的设计应根据具体情况设计相应的采暖、通风 和排水设施,并应符合下列规定:
1 严寒、寒冷等冬季结冰地区采暖温度不应低于10℃,但当 无人值守时不应低于5℃;
2 消防水泵房的通风宜按6次/h 设计;
3 消防水泵房应设置排水设施。
5.5.10 消防水泵不宜设在有防振或有安静要求房间的上一层、 下一层和毗邻位置,当必须时,应采取下列降噪减振措施:
1 消防水泵应采用低噪声水泵;
2 消防水泵机组应设隔振装置;
3 消防水泵吸水管和出水管上应设隔振装置;
4 消防水泵房内管道支架和管道穿墙和穿楼板处,应采取防 止固体传声的措施;
5 在消防水泵房内墙应采取隔声吸音的技术措施。
5.5.11 消防水泵出水管应进行停泵水锤压力计算,并宜按下列 公式计算,当计算所得的水锤压力值超过管道试验压力值时,应采 取消除停泵水锤的技术措施。停泵水锤消除装置应装设在消防水 泵出水总管上,以及消防给水系统管网其他适当的位置:

δ——管道壁厚(mm)。
5.5.12 消防水泵房应符合下列规定:
1 独立建造的消防水泵房耐火等级不应低于二级;
2 附设在建筑物内的消防水泵房,不应设置在地下三层及以 下,或室内地面与室外出入口地坪高差大于10m 的地下楼层;
3 附设在建筑物内的消防水泵房,应采用耐火极限不低于 2.0h 的隔墙和1.50h 的楼板与其他部位隔开,其疏散门应直通安 全出口,且开向疏散走道的门应采用甲级防火门。
5.5.13 当采用柴油机消防水泵时宜设置独立消防水泵房,并应 设置满足柴油机运行的通风、排烟和阻火设施。
5.5.14 消防水泵房应采取防水淹没的技术措施。
5.5.15 独立消防水泵房的抗震应满足当地地震要求,且宜按本 地区抗震设防烈度提高1度采取抗震措施,但不宜做提高1度抗 震计算,并应符合现行国家标准《室外给水排水和燃气热力工程抗 震设计规范》GB 50032 的有关规定。
5.5.16 消防水泵和控制柜应采取安全保护措施。
6 给 水 形 式
6.1 一 般 规 定
6.1.1 消防给水系统应根据建筑的用途功能、体积、高度、耐火等 级、火灾危险性、重要性、次生灾害、商务连续性、水源条件等因素 综合确定其可靠性和供水方式,并应满足水灭火系统所需流量和 压力的要求。
6.1.2 城镇消防给水宜采用城镇市政给水管网供应,并应符合下 列规定:
1 城镇市政给水管网及输水干管应符合现行国家标准《室外给水设计规范》GB 50013的有关规定。
2 工业园区、商务区和居住区宜采用两路消防供水。
3 当采用天然水源作为消防水源时,每个天然水源消防取水 口宜按一个市政消火栓计算或根据消防车停放数量确定。
4 当市政给水为间歇供水或供水能力不足时,宜建设市政消 防水池,且建筑消防水池宜有作为市政消防给水的技术措施。
5 城市避难场所宜设置独立的城市消防水池,且每座容量不 宜小于200m³。
6.1.3 建筑物室外宜采用低压消防给水系统,当采用市政给水管 网供水时,应符合下列规定:
1 应采用两路消防供水,除建筑高度超过54m 的住宅外,室 外消火栓设计流量小于等于20L/s 时可采用一路消防供水;
2 室外消火栓应由市政给水管网直接供水。
6.1.4 工艺装置区、储罐区、堆场等构筑物室外消防给水,应符合 下列规定:
1 工艺装置区、储罐区等场所应采用高压或临时高压消防给水系统,但当无泡沫灭火系统、固定冷却水系统和消防炮,室外消 防给水设计流量不大于30L/s, 且在城镇消防站保护范围内时,可 采用低压消防给水系统;
2 堆场等场所宜采用低压消防给水系统,但当可燃物堆场规 模大、堆垛高、易起火、扑救难度大,应采用高压或临时高压消防给 水系统。
6.1.5 市政消火栓或消防车从消防水池吸水向建筑供应室外消 防给水时,应符合下列规定:供消防车吸水的室外消防水池的每个取水口宜按一个室外消 火栓计算,且其保护半径不应大于150m。距建筑外缘5m~150m 的市政消火栓可计入建筑室外消火 栓的数量,但当为消防水泵接合器供水时,距建筑外缘5m~40m 的市政消火栓可计入建筑室外消火栓的数量。
当市政给水管网为环状时,符合本条上述内容的室外消火栓 出流量宜计入建筑室外消火栓设计流量;但当市政给水管网为枝 状时,计入建筑的室外消火栓设计流量不宜超过一个市政消火栓 的出流量。
6.1.6 当室外采用高压或临时高压消防给水系统时,宜与室内消 防给水系统合用。
6.1.7 独立的室外临时高压消防给水系统宜采用稳压泵维持系 统的充水和压力。
6.1.8 室内应采用高压或临时高压消防给水系统,且不应与生产 生活给水系统合用;但当自动喷水灭火系统局部应用系统和仅设 有消防软管卷盘或轻便水龙的室内消防给水系统时,可与生产生 活给水系统合用。
6.1.9 室内采用临时高压消防给水系统时,高位消防水箱的设置 应符合下列规定:
1 高层民用建筑、总建筑面积大于10000m²且层数超过2层 的公共建筑和其他重要建筑,必须设置高位消防水箱;
2 其他建筑应设置高位消防水箱,但当设置高位消防水箱确 有困难,且采用安全可靠的消防给水形式时,可不设高位消防水 箱,但应设稳压泵;
3 当市政供水管网的供水能力在满足生产、生活最大小时用 水量后,仍能满足初期火灾所需的消防流量和压力时,市政直接供 水可替代高位消防水箱。
6.1.10 当室内临时高压消防给水系统仅采用稳压泵稳压,且为 室外消火栓设计流量大于20L/s 的建筑和建筑高度大于54m 的 住宅时,消防水泵的供电或备用动力应符合下列要求:
1 消防水泵应按一级负荷要求供电,当不能满足一级负荷要 求供电时应采用柴油发电机组作备用动力;
2 工业建筑备用泵宜采用柴油机消防水泵。
6.1.11 建筑群共用临时高压消防给水系统时,应符合下列规定 :
1 工矿企业消防供水的最大保护半径不宜超过1200m, 且占 地面积不宜大于200hm²;
2 居住小区消防供水的最大保护建筑面积不宜超过 500000m²;
3 公共建筑宜为同一产权或物业管理单位。
6.1.12 当市政给水管网能满足生产生活和消防给水设计流量, 且市政允许消防水泵直接吸水时,临时高压消防给水系统的消防 水泵宜直接从市政给水管网吸水,但城镇市政消防给水设计流量 宜大于建筑的室内外消防给水设计流量之和。
6.1.13 当建筑物高度超过100m 时,室内消防给水系统应分析 比较多种系统的可靠性,采用安全可靠的消防给水形式;当采用常 高压消防给水系统时,但高位消防水池无法满足上部楼层所需的 压力和流量时,上部楼层应采用临时高压消防给水系统,该系统的 高位消防水箱的有效容积应按本规范第5.2.1条的规定根据该系 统供水高度确定,且不应小于18m³。
6.2 分 区 供 水
6.2.1 符合下列条件时,消防给水系统应分区供水:
1 系统工作压力大于2.40MPa;
2 消火栓栓口处静压大于1.0MPa;
3 自动水灭火系统报警阀处的工作压力大于1.60MPa 或喷 头处的工作压力大于1.20MPa。
6.2.2 分区供水形式应根据系统压力、建筑特征,经技术经济和 安全可靠性等综合因素确定,可采用消防水泵并行或串联、减压水 箱和减压阀减压的形式,但当系统的工作压力大于2.40MPa 时, 应采用消防水泵串联或减压水箱分区供水形式。
6.2.3 采用消防水泵串联分区供水时,宜采用消防水泵转输水箱 串联供水方式,并应符合下列规定:
1 当采用消防水泵转输水箱串联时,转输水箱的有效储水容积不应小于60m³, 转输水箱可作为高位消防水箱;
2 串联转输水箱的溢流管宜连接到消防水池;
3 当采用消防水泵直接串联时,应采取确保供水可靠性的措 施,且消防水泵从低区到高区应能依次顺序启动;
4 当采用消防水泵直接串联时,应校核系统供水压力,并应 在串联消防水泵出水管上设置减压型倒流防止器。
6.2.4 采用减压阀减压分区供水时应符合下列规定:
1 消防给水所采用的减压阀性能应安全可靠,并应满足消防给水的要求;
2 减压阀应根据消防给水设计流量和压力选择,且设计流量 应在减压阀流量压力特性曲线的有效段内,并校核在150%设计 流量时,减压阀的出口动压不应小于设计值的65%;
3 每一供水分区应设不少于两组减压阀组,每组减压阀组宜 设置备用减压阀;
4 减压阀仅应设置在单向流动的供水管上,不应设置在有双向流动的输水干管上;
5 减压阀宜采用比例式减压阀,当超过1.20MPa 时,宜采用 先导式减压阀;
6 减压阀的阀前阀后压力比值不宜大于3:1,当一级减压 阀减压不能满足要求时,可采用减压阀串联减压,但串联减压不应 大于两级,第二级减压阀宜采用先导式减压阀,阀前后压力差不宜 超过0.40MPa;
7 减压阀后应设置安全阀,安全阀的开启压力应能满足系统 安全,且不应影响系统的供水安全性。
6.2.5 采用减压水箱减压分区供水时应符合下列规定:
1 减压水箱的有效容积、出水、排水、水位和设置场所,应符 合本规范第4.3.8条、第4.3.9条、第5.2.5条和第5.2.6条第2 款的规定;
2 减压水箱的布置和通气管、呼吸管等,应符合本规范第 5.2.6条第3款~第11款的规定;
3 减压水箱的有效容积不应小于18m³, 且宜分为两格;
4 减压水箱应有两条进、出水管,且每条进、出水管应满足消 防给水系统所需消防用水量的要求;
5 减压水箱进水管的水位控制应可靠,宜采用水位控制阀;
6 减压水箱进水管应设置防冲击和溢水的技术措施,并宜在 进水管上设置紧急关闭阀门,溢流水宜回流到消防水池。
7 消火栓系统
7.1 系 统 选 择
7.1.1 市政消火栓和建筑室外消火栓应采用湿式消火栓系统。
7.1.2 室内环境温度不低于4℃,且不高于70℃的场所,应采用 湿式室内消火栓系统。
7.1.3 室内环境温度低于4℃或高于70℃的场所,宜采用干式消 火栓系统。
7.1.4 建筑高度不大于27m 的多层住宅建筑设置室内湿式消火 栓系统确有困难时,可设置干式消防竖管。
7.1.5 严寒、寒冷等冬季结冰地区城市隧道及其他构筑物的消火栓 系统,应采取防冻措施,并宜采用干式消火栓系统和干式室外消火栓。
7.1.6 干式消火栓系统的充水时间不应大于5min,并应符合下列规定:
1 在供水干管上宜设干式报警阀、雨淋阀或电磁阀、电动阀 等快速启闭装置;当采用电动阀时开启时间不应超过30s;
2 当采用雨淋阀、电磁阀和电动阀时,在消火栓箱处应设置 直接开启快速启闭装置的手动按钮;
3 在系统管道的最高处应设置快速排气阀。
7.2 市政消火栓
7.2.1 市政消火栓宜采用地上式室外消火栓;在严寒、寒冷等冬季结 冰地区宜采用干式地上式室外消火栓,严寒地区宜增设消防水鹤。当 采用地下式室外消火栓,地下消火栓井的直径不宜小于1.5m,且当地 下式室外消火栓的取水口在冰冻线以上时,应采取保温措施。
7.2.2 市政消火栓宜采用直径 DN150 的室外消火栓,并应符合下列要求:
1 室外地上式消火栓应有一个直径为150mm 或100mm 和 两个直径为65mm 的栓口;
2 室外地下式消火栓应有直径为100mm 和65mm 的栓口各一个。
7.2.3 市政消火栓宜在道路的一侧设置,并宜靠近十字路口,但 当市政道路宽度超过60m 时,应在道路的两侧交叉错落设置市政 消火栓。
7.2.4 市政桥桥头和城市交通隧道出入口等市政公用设施处,应 设置市政消火栓。
7.2.5 市政消火栓的保护半径不应超过150m,间距不应大于120m。
7.2.6 市政消火栓应布置在消防车易于接近的人行道和绿地等 地点,且不应妨碍交通,并应符合下列规定:
1 市政消火栓距路边不宜小于0.5m,并不应大于2.0m; 2 市政消火栓距建筑外墙或外墙边缘不宜小于5.0m;
3 市政消火栓应避免设置在机械易撞击的地点,确有困难 时,应采取防撞措施。
7.2.7 市政给水管网的阀门设置应便于市政消火栓的使用和维护, 并应符合现行国家标准《室外给水设计规范》GB50013 的有关规定。
7.2.8 当市政给水管网设有市政消火栓时,其平时运行工作压力 不应小于0.14MPa, 火灾时水力最不利市政消火栓的出流量不应 小于15L/s,且供水压力从地面算起不应小于0.10MPa。
7.2.9 严寒地区在城市主要干道上设置消防水鹤的布置间距宜 为1000m, 连接消防水鹤的市政给水管的管径不宜小于DN200。
7.2.10 火灾时消防水鹤的出流量不宜低于30L/s, 且供水压力 从地面算起不应小于0.10MPa。
7.2.11 地下式市政消火栓应有明显的永久性标志。
7.3 室外消火栓
7.3.1 建筑室外消火栓的布置除应符合本节的规定外,还应符合本规范第7.2节的有关规定。
7.3.2 建筑室外消火栓的数量应根据室外消火栓设计流量和保 护半径经计算确定,保护半径不应大于150.0m, 每个室外消火栓 的出流量宜按10L/s~15L/s 计算。
7.3.3 室外消火栓宜沿建筑周围均匀布置,且不宜集中布置在建
筑一侧;建筑消防扑救面一侧的室外消火栓数量不宜少于2个。
7.3.4 人防工程、地下工程等建筑应在出入口附近设置室外消火 栓,且距出入口的距离不宜小于5m, 并不宜大于40m。
7.3.5 停车场的室外消火栓宜沿停车场周边设置,且与最近一排 汽车的距离不宜小于7m, 距加油站或油库不宜小于15m。
7.3.6 甲、乙、丙类液体储罐区和液化烃罐罐区等构筑物的室外 消火栓,应设在防火堤或防护墙外,数量应根据每个罐的设计流量 经计算确定,但距罐壁15m 范围内的消火栓,不应计算在该罐可 使用的数量内。
7.3.7 工艺装置区等采用高压或临时高压消防给水系统的场所, 其周围应设置室外消火栓,数量应根据设计流量经计算确定,且间 距不应大于60.0m 。 当工艺装置区宽度大于120 . 0m 时,宜在该装置区内的路边设置室外消火栓。
7.3.8 当工艺装置区、罐区、堆场、可燃气体和液体码头等构筑物 的面积较大或高度较高,室外消火栓的充实水柱无法完全覆盖时, 宜在适当部位设置室外固定消防炮。
7.3.9 当工艺装置区、储罐区、堆场等构筑物采用高压或临时高 压消防给水系统时,消火栓的设置应符合下列规定:
1 室外消火栓处宜配置消防水带和消防水枪;
2 工艺装置休息平台等处需要设置的消火栓的场所应采用室内消火栓,并应符合本规范第7.4节的有关规定。
7.3.10 室外消防给水引入管当设有倒流防止器,且火灾时因其 水头损失导致室外消火栓不能满足本规范第7 .2 .8条的要求时, 应在该倒流防止器前设置一个室外消火栓。
7.4.1 室内消火栓的选型应根据使用者、火灾危险性、火灾类型 和不同灭火功能等因素综合确定。
7.4.2 室内消火栓的配置应符合下列要求:
1 应采用DN65 室内消火栓,并可与消防软管卷盘或轻便水 龙设置在同一箱体内;
2 应配置公称直径65有内衬里的消防水带,长度不宜超过 25.0m; 消防软管卷盘应配置内径不小于*19的消防软管,其长度 宜为30.0m; 轻便水龙应配置公称直径25有内衬里的消防水带, 长度宜为30.0m;
3 宜配置当量喷嘴直径16mm 或19mm 的消防水枪,但当 消火栓设计流量为2.5L/s 时宜配置当量喷嘴直径11mm 或 13mm 的消防水枪;消防软管卷盘和轻便水龙应配置当量喷嘴直 径6mm 的消防水枪。
7.4.3 设置室内消火栓的建筑,包括设备层在内的各层均应设置 消火栓。
7.4.4 屋顶设有直升机停机坪的建筑,应在停机坪出入口处或非 电器设备机房处设置消火栓,且距停机坪机位边缘的距离不应小 于5.0m。
7.4.5 消防电梯前室应设置室内消火栓,并应计入消火栓使用 数量。
7.4.6 室内消火栓的布置应满足同一平面有2支消防水枪的2 股充实水柱同时达到任何部位的要求,但建筑高度小于或等于 24.0m 且体积小于或等于5000m²的多层仓库、建筑高度小于或等 于54m 且每单元设置一部疏散楼梯的住宅,以及本规范表3.5.2 中规定可采用1支消防水枪的场所,可采用1支消防水枪的1股 充实水柱到达室内任何部位。
7.4.7 建筑室内消火栓的设置位置应满足火灾扑救要求,并应符合下列规定:
1 室内消火栓应设置在楼梯间及其休息平台和前室、走道等明显易于取用,以及便于火灾扑救的位置;
2 住宅的室内消火栓宜设置在楼梯间及其休息平台;
3 汽车库内消火栓的设置不应影响汽车的通行和车位的设 置,并应确保消火栓的开启;
4 同一楼梯间及其附近不同层设置的消火栓,其平面位置宜 相 同 ;
5 冷库的室内消火栓应设置在常温穿堂或楼梯间内。
7.4.8 建筑室内消火栓栓口的安装高度应便于消防水龙带的连 接和使用,其距地面高度宜为1.1m; 其出水方向应便于消防水带 的敷设,并宜与设置消火栓的墙面成90°角或向下。
7.4.9 设有室内消火栓的建筑应设置带有压力表的试验消火栓, 其设置位置应符合下列规定:
1 多层和高层建筑应在其屋顶设置,严寒、寒冷等冬季结冰地区可设置在顶层出口处或水箱间内等便于操作和防冻的位置;
2 单层建筑宜设置在水力最不利处,且应靠近出入口。
7.4.10 室内消火栓宜按直线距离计算其布置间距,并应符合下列规定:
1 消火栓按2支消防水枪的2股充实水柱布置的建筑物,消 火栓的布置间距不应大于30.0m;
2 消火栓按1支消防水枪的1股充实水柱布置的建筑物,消火栓的布置间距不应大于50.0m。
7.4.11 消防软管卷盘和轻便水龙的用水量可不计入消防用水总量。
7.4.12 室内消火栓栓口压力和消防水枪充实水柱,应符合下列规定 :
1 消火栓栓口动压力不应大于0 . 50MPa; 当大于0 . 70MPa时必须设置减压装置;
2 高层建筑、厂房、库房和室内净空高度超过8m 的民用建 筑等场所,消火栓栓口动压不应小于0.35MPa, 且消防水枪充实 水柱应按13m 计算;其他场所,消火栓栓口动压不应小于 0.25MPa, 且消防水枪充实水柱应按10m 计算。
7.4.13 建筑高度不大于27m 的住宅,当设置消火栓时,可采用 干式消防竖管,并应符合下列规定:
1 干式消防竖管宜设置在楼梯间休息平台,且仅应配置消火 栓栓口;
2 干式消防竖管应设置消防车供水接口;
3 消防车供水接口应设置在首层便于消防车接近和安全的 地点;
4 竖管顶端应设置自动排气阀。
7.4.14 住宅户内宜在生活给水管道上预留一个接 DN15 消防软 管或轻便水龙的接口。
7.4.15 跃层住宅和商业网点的室内消火栓应至少满足一股充实 水柱到达室内任何部位,并宜设置在户门附近。
7.4.16 城市交通隧道室内消火栓系统的设置应符合下列规定:
1 隧道内宜设置独立的消防给水系统;
2 管道内的消防供水压力应保证用水量达到最大时,最低压 力不应小于0.30MPa, 但当消火栓栓口处的出水压力超过 0.70MPa 时,应设置减压设施;
3 在隧道出入口处应设置消防水泵接合器和室外消火栓;
4 消火栓的间距不应大于50m, 双向同行车道或单行通行但 大于3车道时,应双面间隔设置;
5 隧道内允许通行危险化学品的机动车,且隧道长度超过 3000m 时,应配置水雾或泡沫消防水枪。
8 管 网
8.1 一 般 规 定
8.1.1 当市政给水管网设有市政消火栓时,应符合下列规定:
1 设有市政消火栓的市政给水管网宜为环状管网,但当城镇 人口小于2.5万人时,可为枝状管网;
2 接市政消火栓的环状给水管网的管径不应小于DN150, 枝状管网的管径不宜小于 DN200。 当城镇人口小于2.5万人时, 接市政消火栓的给水管网的管径可适当减少,环状管网时不应小 于DN100, 枝状管网时不宜小于DN150;
3 工业园区、商务区和居住区等区域采用两路消防供水,当 其中一条引入管发生故障时,其余引入管在保证满足70%生产生 活给水的最大小时设计流量条件下,应仍能满足本规范规定的消 防给水设计流量。
8.1.2 下列消防给水应采用环状给水管网:
1 向两栋或两座及以上建筑供水时;
2 向两种及以上水灭火系统供水时;
3 采用设有高位消防水箱的临时高压消防给水系统时;
4 向两个及以上报警阀控制的自动水灭火系统供水时。
8.1.3 向室外、室内环状消防给水管网供水的输水干管不应少于 两条,当其中一条发生故障时,其余的输水干管应仍能满足消防给 水设计流量。
8.1.4 室外消防给水管网应符合下列规定:
1 室外消防给水采用两路消防供水时应采用环状管网,但当采用一路消防供水时可采用枝状管网;
2 管道的直径应根据流量、流速和压力要求经计算确定,但不应小于 DN100;
3 消防给水管道应采用阀门分成若干独立段,每段内室外消 火栓的数量不宜超过5个;
4 管道设计的其他要求应符合现行国家标准《室外给水设计 规范》GB50013 的有关规定。
8.1.5 室内消防给水管网应符合下列规定:
1 室内消火栓系统管网应布置成环状,当室外消火栓设计流 量不大于20L/s, 且室内消火栓不超过10个时,除本规范第8.1.2 条外,可布置成枝状;
2 当由室外生产生活消防合用系统直接供水时,合用系统除 应满足室外消防给水设计流量以及生产和生活最大小时设计流 量的要求外,还应满足室内消防给水系统的设计流量和压力 要求;
3 室内消防管道管径应根据系统设计流量、流速和压力要求 经计算确定;室内消火栓竖管管径应根据竖管最低流量经计算确 定,但不应小于DN100。
8.1.6 室内消火栓环状给水管道检修时应符合下列规定:
1 室内消火栓竖管应保证检修管道时关闭停用的竖管不超 过1根,当竖管超过4根时,可关闭不相邻的2根;
2 每根竖管与供水横干管相接处应设置阀门。
8.1.7 室内消火栓给水管网宜与自动喷水等其他水灭火系统的 管网分开设置;当合用消防泵时,供水管路沿水流方向应在报警阀 前分开设置。
8.1.8 消防给水管道的设计流速不宜大于2.5m/s, 自动水灭火 系统管道设计流速,应符合现行国家标准《自动喷水灭火系统设计 规范》GB 50084、《泡沫灭火系统设计规范》GB 50151、《水喷雾灭 火系统设计规范》GB 50219 和《固定消防炮灭火系统设计规范》 GB 50338 的有关规定,但任何消防管道的给水流速不应大于 7m/s。
8.2.1 消防给水系统中采用的设备、器材、管材管件、阀门和配件 等系统组件的产品工作压力等级,应大于消防给水系统的系统工 作压力,且应保证系统在可能最大运行压力时安全可靠。
8.2.2 低压消防给水系统的系统工作压力应根据市政给水管网 和其他给水管网等的系统工作压力确定,且不应小于0.60MPa。
8.2.3 高压和临时高压消防给水系统的系统工作压力应根据系 统在供水时,可能的最大运行压力确定,并应符合下列规定:
1 高位消防水池、水塔供水的高压消防给水系统的系统工作 压力,应为高位消防水池、水塔最大静压;
2 市政给水管网直接供水的高压消防给水系统的系统工作 压力,应根据市政给水管网的工作压力确定;
3 采用高位消防水箱稳压的临时高压消防给水系统的系统 工作压力,应为消防水泵零流量时的压力与水泵吸水口最大静水 压力之和;
4 采用稳压泵稳压的临时高压消防给水系统的系统工作压 力,应取消防水泵零流量时的压力、消防水泵吸水口最大静压二者 之和与稳压泵维持系统压力时两者其中的较大值。
8.2.4 埋地管道宜采用球墨铸铁管、钢丝网骨架塑料复合管和加 强防腐的钢管等管材,室内外架空管道应采用热浸锌镀锌钢管等 金属管材,并应按下列因素对管道的综合影响选择管材和设计 管道:
1 系统工作压力;
2 覆土深度;
3 土壤的性质;
4 管道的耐腐蚀能力;
5 可能受到土壤、建筑基础、机动车和铁路等其他附加荷载 的影响;
6 管道穿越伸缩缝和沉降缝。
8.2.5 埋地管道当系统工作压力不大于1 .20MPa 时,宜采用球 墨铸铁管或钢丝网骨架塑料复合管给水管道;当系统工作压力大 于1 .20MPa 小于1 . 60MPa 时,宜采用钢丝网骨架塑料复合管、加 厚钢管和无缝钢管;当系统工作压力大于1.60MPa 时,宜采用无 缝钢管。钢管连接宜采用沟槽连接件(卡箍)和法兰,当采用沟槽 连接件连接时,公称直径小于等于DN250 的沟槽式管接头系统工 作压力不应大于2 .50MPa, 公称直径大于或等于 DN300 的沟槽 式管接头系统工作压力不应大于1.60MPa。
8.2.6 埋地金属管道的管顶覆土应符合下列规定:
1 管道最小管顶覆土应按地面荷载、埋深荷载和冰冻线对管道的综合影响确定;
2 管道最小管顶覆土不应小于0.70m; 但当在机动车道下时 管道最小管顶覆土应经计算确定,并不宜小于0.90m;
3 管道最小管顶覆土应至少在冰冻线以下0.30m。
8.2.7 埋地管道采用钢丝网骨架塑料复合管时应符合下列规定:
1 钢丝网骨架塑料复合管的聚乙烯(PE) 原材料不应低于 PE80;
2 钢丝网骨架塑料复合管的内环向应力不应低于8.0MPa;
3 钢丝网骨架塑料复合管的复合层应满足静压稳定性和剥 离强度的要求;
4 钢丝网骨架塑料复合管及配套管件的熔体质量流动速率 (MFR), 应按现行国家标准《热塑性塑料熔体质量流动速率和熔 体体积流动速率的测定》GB/T 3682 规定的试验方法进行试验 时,加工前后 MFR 变化不应超过±20%;
5 管材及连接管件应采用同一品牌产品,连接方式应采用可 靠的电熔连接或机械连接;
6 管材耐静压强度应符合现行行业标准《埋地聚乙烯给水管 道工程技术规程》CJJ101 的有关规定和设计要求;
7 钢丝网骨架塑料复合管道最小管顶覆土深度,在人行道下 不宜小于0.80m, 在轻型车行道下不应小于1.0m, 且应在冰冻线 下0.30m; 在重型汽车道路或铁路、高速公路下应设置保护套管, 套管与钢丝网骨架塑料复合管的净距不应小于100mm;
8 钢丝网骨架塑料复合管道与热力管道间的距离,应在保证 聚乙烯管道表面温度不超过40℃的条件下计算确定,但最小净距 不应小于1.50m。
8.2.8 架空管道当系统工作压力小于等于1.20MPa 时,可采用 热浸锌镀锌钢管;当系统工作压力大于1.20MPa 时,应采用热浸 镀锌加厚钢管或热浸镀锌无缝钢管;当系统工作压力大于 1.60MPa 时,应采用热浸镀锌无缝钢管。
8.2.9 架空管道的连接宜采用沟槽连接件(卡箍)、螺纹、法兰、卡 压等方式,不宜采用焊接连接。当管径小于或等于DN50 时,应采 用螺纹和卡压连接,当管径大于 DN50 时,应采用沟槽连接件连 接、法兰连接,当安装空间较小时应采用沟槽连接件连接。
8.2.10 架空充水管道应设置在环境温度不低于5℃的区域,当 环境温度低于5℃时,应采取防冻措施;室外架空管道当温差变化 较大时应校核管道系统的膨胀和收缩,并应采取相应的技术措施。
8.2.11 埋地管道的地基、基础、垫层、回填土压实密度等的要求, 应根据刚性管或柔性管管材的性质,结合管道埋设处的具体情况, 按现行国家标准《给水排水管道工程施工及验收标准》GB 50268 和《给水排水工程管道结构设计规范》GB50332 的有关规定执行。 当埋地管直径不小于 DN100 时,应在管道弯头、三通和堵头等位 置设置钢筋混凝土支墩。
8.2.12 消防给水管道不宜穿越建筑基础,当必须穿越时,应采取 防护套管等保护措施。
8.2.13 埋地钢管和铸铁管,应根据土壤和地下水腐蚀性等因素 确定管外壁防腐措施;海边、空气潮湿等空气中含有腐蚀性介质的 场所的架空管道外壁,应采取相应的防腐措施。
8.3 阀门及其他
8.3.1 消防给水系统的阀门选择应符合下列规定:
1 埋地管道的阀门宜采用带启闭刻度的暗杆闸阀,当设置在 阀门井内时可采用耐腐蚀的明杆闸阀;
2 室内架空管道的阀门宜采用蝶阀、明杆闸阀或带启闭刻度 的暗杆闸阀等;
3 室外架空管道宜采用带启闭刻度的暗杆闸阀或耐腐蚀的 明杆闸阀;
4 埋地管道的阀门应采用球墨铸铁阀门,室内架空管道的阀 门应采用球墨铸铁或不锈钢阀门,室外架空管道的阀门应采用球 墨铸铁阀门或不锈钢阀门。
8.3.2 消防给水系统管道的最高点处宜设置自动排气阀。
8.3.3 消防水泵出水管上的止回阀宜采用水锤消除止回阀,当消 防水泵供水高度超过24m 时,应采用水锤消除器。当消防水泵出 水管上设有囊式气压水罐时,可不设水锤消除设施。
8.3.4 减压阀的设置应符合下列规定:
1 减压阀应设置在报警阀组入口前,当连接两个及以上报警 阀组时,应设置备用减压阀;
2 减压阀的进口处应设置过滤器,过滤器的孔网直径不宜小 于4目/cm²~5 目/cm², 过流面积不应小于管道截面积的4倍;
3 过滤器和减压阀前后应设压力表,压力表的表盘直径不应 小于100mm, 最大量程宜为设计压力的2倍;
4 过滤器前和减压阀后应设置控制阀门;
5 减压阀后应设置压力试验排水阀;
6 减压阀应设置流量检测测试接口或流量计;
7 垂直安装的减压阀,水流方向宜向下;
8 比例式减压阀宜垂直安装,可调式减压阀宜水平安装;
9 减压阀和控制阀门宜有保护或锁定调节配件的装置;
10 接减压阀的管段不应有气堵、气阻。
8.3.5 室内消防给水系统由生活、生产给水系统管网直接供水 时,应在引入管处设置倒流防止器。当消防给水系统采用有空气 隔断的倒流防止器时,该倒流防止器应设置在清洁卫生的场所,其 排水口应采取防止被水淹没的技术措施。
8.3.6 在寒冷、严寒地区,室外阀门井应采取防冻措施。
8.3.7 消防给水系统的室内外消火栓、阀门等设置位置,应设置 永久性固定标识。
9.1 一 般 规 定
9.1.1 设有消防给水系统的建设工程宜采取消防排水措施。
9.1.2 排水措施应满足财产和消防设施安全,以及系统调试和日 常维护管理等安全和功能的需要。
9.2 消 防 排 水
9.2.1 下列建筑物和场所应采取消防排水措施:
1 消防水泵房;
2 设有消防给水系统的地下室;
3 消防电梯的井底;
4 仓库。
9.2.2 室内消防排水应符合下列规定:
1 室内消防排水宜排入室外雨水管道;
2 当存有少量可燃液体时,排水管道应设置水封,并宜间接 排入室外污水管道;
3 地下室的消防排水设施宜与地下室其他地面废水排水设 施共用。
9.2.3 消防电梯的井底排水设施应符合下列规定:
1 排水泵集水井的有效容量不应小于2.00m³;
2 排水泵的排水量不应小于10L/s。
9.2.4 室内消防排水设施应采取防止倒灌的技术措施。
9.3 测 试 排 水
9.3.1 消防给水系统试验装置处应设置专用排水设施,排水管径应符合下列规定:
1 自动喷水灭火系统等自动水灭火系统末端试水装置处的 排水立管管径,应根据末端试水装置的泄流量确定,并不宜小于 DN75;
2 报警阀处的排水立管宜为 DN100;
3 减压阀处的压力试验排水管道直径应根据减压阀流量确 定,但不应小于DN100。
9.3.2 试验排水可回收部分宜排入专用消防水池循环再利用。
10 水 力 计 算
10.1 水 力 计 算
10.1.1 消防给水的设计压力应满足所服务的各种水灭火系统最 不利点处水灭火设施的压力要求。
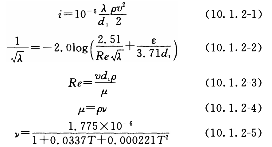
10.1.2 消防给水管道单位长度管道沿程水头损失应根据管材、 水力条件等因素选择,可按下列公式计算:
1 消防给水管道或室外塑料管可采用下列公式计算:

式中:i- 单位长度管道沿程水头损失(MPa/m);
d;——管道的内径(m);
v——管道内水的平均流速(m/s);
p—— 水的密度(kg/m³);
λ——沿程损失阻力系数;
e—— 当量粗糙度,可按表10.1.2取值(m);
Re—— 雷诺数,无量纲:
μ——水的动力黏滞系数(Pa/s);
v—— 水的运动黏滞系数(m²/s);
T—— 水的温度,宜取10℃。
2 内衬水泥砂浆球墨铸铁管可按下列公式计算:

表10.1.2 各种管道水头损失计算参数e、n₂、C
| 管材名称 | 当量粗糙度 e(m) | 管道粗糙系数 n₄ | 海澄-威廉系数 C |
| 球墨铸铁管(内衬水泥) | 0.0001 | 0.011~0.012 | 130 |
| 钢管(旧) | 0.0005~0.001 | 0.014~0.018 | 100 |
| 镀锌钢管 | 0.00015 | 0.014 | 120 |
| 铜管/不锈钢管 | 0.0000 | — | 140 |
| 钢丝网骨架PE塑料管 | 0.000010~0.00003 | 140 |
10.1.3 管道速度压力可按下式计算:

式中:P√—— 管道速度压力(MPa)。
10.1.4 管道压力可按下式计算:
P₀=P₁-P (10.1.4)
式中:Pa——管道某一点处压力(MPa);
P—— 管道某一点处总压力(MPa)。
10.1.5 管道沿程水头损失宜按下式计算:
P₁=iL (10.1.5)
式中:Pr——管道沿程水头损失(MPa);
L——管道直线段的长度(m)。
10.1.6 管道局部水头损失宜按下式计算。当资料不全时,局部 水头损失可按根据管道沿程水头损失的10%~30%估算,消防给 水干管和室内消火栓可按10%~20%计,自动喷水等支管较多时可按30%计。
| P,=iL, |
(10.1.6)
式中:P,——管件和阀门等局部水头损失(MPa);
L,——管件和阀门等当量长度,可按表10.1.6-1 取值(m)。
表10.1.6-1 管件和阀门当量长度(m)
| 管件 名称 | 管件直径DN(mm) | |||||||||||
| 25 | 32 | 40 | 50 | 70 | 80 | 100 | 125 | 150 | 200 | 250 | 300 | |
| 45°弯头 | 0.3 | 0.3 | 0.6 | 0.6 | 0.9 | 0.9 | 1.2 | 1.5 | 2.1 | 2.7 | 3.3 | 4.0 |
| 90°弯头 | 0.6 | 0.9 | 1.2 | 1.5 | 1.8 | 2.1 | 3.1 | 3.7 | 4.3 | 5.5 | 5.5 | 8.2 |
| 三通 四通 | 1.5 | 1.8 | 2.4 | 3.1 | 3.7 | 4.6 | 6.1 | 7.6 | 9.2 | 10.7 | 15.3 | 18.3 |
| 蝶阀 | 1.8 | 2.1 | 3.1 | 3.7 | 2.7 | 3.1 | 3.7 | 5.8 | 6.4 | |||
| 闸阀 | 0.3 | 0.3 | 0.3 | 0.6 | 0.6 | 0.9 | 1.2 | 1.5 | 1.8 | |||
| 止回阀 | 1.5 | 2.1 | 2.7 | 3.4 | 4.3 | 4.9 | 6.7 | 8.3 | 9.8 | 13.7 | 16.8 | 19.8 |
| 异径 弯头 | 32 | 40 | 50 | 70 | 80 | 100 | 125 | 150 | 200 | — | — | |
| 25 | 32 | 40 | 50 | 70 | 80 | 100 | 125 | 150 | ||||
| 0.2 | 0.3 | 0.3 | 0.5 | 0.6 | 0.8 | 1.1 | 1.3 | 1.6 | ||||
续表10.1.6-1
| 管件 名称 | 管件直径DN(mm) | |||||||||||
| 25 | 32 | 40 | 50 | 70 | 80 | 100 | 125 | 150 | 200 | 250 | 300 | |
| U型 过滤器 | 12.3 | 15.4 | 18.5 | 24.5 | 30.8 | 36.8 | 49 | 61.2 | 73.5 | 98 | 122.5 | — |
| Y型 过滤器 | 11.2 | 14 | 16.8 | 22.4 | 28 | 33.6 | 46.2 | 57.4 | 68.6 | 91 | 113.4 | |
注:1 当异径接头的出口直径不变而入口直径提高I 级时,其当量长度应增大 0.5倍;提高2级或2级以上时,其当量长度应增加1.0倍;
2 表中当量长度是在海澄威廉系数C=120 的条件下测得,当选择的管材不 同时,当量长度应根据下列系数作调整:C=100,k₁=0.713;C=120,k₁=1.0;C=130,k₁=1.16;C=140,k₁=1.33;C=150,k₁=1.51;
3 表中没有提供管件和阀门当量长度时,可按表10.1.6-2提供的参数经计算 确定。
表10.1.6-2 各种管件和阀门的当量长度折算系数
| 管件或阀门名称 | 折算系数(Lp/d) |
| 45°弯头 | 16 |
| 90°弯头 | 30 |
| 三通四通 | 60 |
| 蝶阀 | 30 |
| 闸阀 | 13 |
| 止回阀 | 70~140 |
| 异径弯头 | 10 |
| U型过滤器 | 500 |
| Y型过滤器 | 410 |
10.1.7 消防水泵或消防给水所需要的设计扬程或设计压力,宜 按下式计算:
P=k₂(ZP₁+2P)+0.01H+P 。 (10.1.7)
式中:P- -消防水泵或消防给水系统所需要的设计扬程或设计压 力(MPa);
k₂—— 安全系数,可取1.20~1.40;宜根据管道的复杂程度 和不可预见发生的管道变更所带来的不确定性;
H- 当消防水泵从消防水池吸水时,H 为最低有效水位至 最不利水灭火设施的几何高差;当消防水泵从市政给 水管网直接吸水时,H 为火灾时市政给水管网在消防 水泵入口处的设计压力值的高程至最不利水灭火设 施的几何高差(m);
P₀—— 最不利点水灭火设施所需的设计压力(MPa)。
10.1.8 市政给水管网直接向消防给水系统供水时,消防给水入 户引入管的工作压力应根据市政供水公司确定值进行复核计算。
10.1.9 消火栓系统管网的水力计算应符合下列规定:
1 室外消火栓系统的管网在水力计算时不应简化,应根据枝 状或事故状态下环状管网进行水力计算;
2 室内消火栓系统管网在水力计算时,可简化为枝状管网。
室内消火栓系统的竖管流量应按本规范第8.1.6条第1款规 定可关闭竖管数量最大时,剩余一组最不利的竖管确定该组竖管 中每根竖管平均分摊室内消火栓设计流量,且不应小于本规范表 3.5.2规定的竖管流量。
室内消火栓系统供水横干管的流量应为室内消火栓设计流量。
10.2 消 火 栓
10.2.1室内消火栓的保护半径可按下式计算:
R₀=k₃La+L,
(10.2.1)
式中:R₀——消火栓保护半径(m);
k₃- 消防水带弯曲折减系数,宜根据消防水带转弯数量 取0.8~0.9;
L₄—— 消防水带长度(m);
L,—— 水枪充实水柱长度在平面上的投影长度。按水枪倾 角为45°时计算,取0.71S(m);
Se—— 水枪充实水柱长度,按本规范第7.4.12条第2款和 第7.4.16条第2款的规定取值(m)。
10.3 减 压 计 算
10.3.1 减压孔板应符合下列规定:
1 应设在直径不小于50mm 的水平直管段上,前后管段的 长度均不宜小于该管段直径的5倍;
2 孔口直径不应小于设置管段直径的30%,且不应小于 20mm;
3 应采用不锈钢板材制作。
10.3.2 节流管应符合下列规定:
1 直径宜按上游管段直径的1/2确定;
2 长度不宜小于1m;
3 节流管内水的平均流速不应大于20m/s。
10.3.3 减压孔板的水头损失,应按下列公式计算:

式中:H₄—— 减压孔板的水头损失(MPa);
Ve—— 减压孔板后管道内水的平均流速(m/s); g—— 重力加速度(m/s²);
ξ₁——减压孔板的局部阻力系数,也可按表10.3.3取值;
dx—— 减压孔板孔口的计算内径;取值应按减压孔板孔口 直径减1mm 确 定(m);
表10 .3 .3 减压孔板局部阻力系数
| dx/d | 0.3 | 0.4 | 0.5 | 0.6 | 0.7 | 0.8 |
| 51 | 292 | 83.3 | 29.5 | 11.7 | 4.75 | 1.83 |
10.3.4 节流管的水头损失,应按下式计算:

式中:H₄——节流管的水头损失(MPa);
ζz——节流管中渐缩管与渐扩管的局部阻力系数之和,取 值0.7;
V₄—— 节流管内水的平均流速(m/s);
d₈—— 节流管的计算内径,取值应按节流管内径减1mm 确 定(m);
L;——节流管的长度(m)。
10.3.5 减压阀的水头损失计算应符合下列规定:
1 应根据产品技术参数确定;当无资料时,减压阀阀前后静 压与动压差应按不小于0.10MPa 计算;
2 减压阀串联减压时,应计算第一级减压阀的水头损失对第 二级减压阀出水动压的影响。
11 控制与操作
11.0.1 消防水泵控制柜应设置在消防水泵房或专用消防水泵控 制室内,并应符合下列要求:
1 消防水泵控制柜在平时应使消防水泵处于自动启泵状态;
2 当自动水灭火系统为开式系统,且设置自动启动确有困难 时,经论证后消防水泵可设置在手动启动状态,并应确保24h 有人 工值班。
11.0.2 消防水泵不应设置自动停泵的控制功能,停泵应由具有 管理权限的工作人员根据火灾扑救情况确定。
11.0.3 消防水泵应确保从接到启泵信号到水泵正常运转的自动 启动时间不应大于2min。
11.0.4 消防水泵应由消防水泵出水干管上设置的压力开关、高 位消防水箱出水管上的流量开关,或报警阀压力开关等开关信号 应能直接自动启动消防水泵。消防水泵房内的压力开关宜引入消 防水泵控制柜内。
11.0.5 消防水泵应能手动启停和自动启动。
11.0.6 稳压泵应由消防给水管网或气压水罐上设置的稳压泵自 动启停泵压力开关或压力变送器控制。
11.0.7 消防控制室或值班室,应具有下列控制和显示功能:
1 消防控制柜或控制盘应设置专用线路连接的手动直接启 泵按钮;
2 消防控制柜或控制盘应能显示消防水泵和稳压泵的运行 状态;
3 消防控制柜或控制盘应能显示消防水池、高位消防水箱等 水源的高水位、低水位报警信号,以及正常水位。
11.0.8 消防水泵、稳压泵应设置就地强制启停泵按钮,并应有保 护装置。
11.0.9 消防水泵控制柜设置在专用消防水泵控制室时,其防护 等级不应低于 IP30; 与消防水泵设置在同一空间时,其防护等级 不应低于 IP55。
11.0.10 消防水泵控制柜应采取防止被水淹没的措施。在高温 潮湿环境下,消防水泵控制柜内应设置自动防潮除湿的装置。
11.0.11 当消防给水分区供水采用转输消防水泵时,转输泵宜在 消防水泵启动后再启动;当消防给水分区供水采用串联消防水泵 时,上区消防水泵宜在下区消防水泵启动后再启动。
11.0.12 消防水泵控制柜应设置机械应急启泵功能,并应保证在 控制柜内的控制线路发生故障时由有管理权限的人员在紧急时启 动消防水泵。机械应急启动时,应确保消防水泵在报警后5.0min 内正常工作。
11.0.13 消防水泵控制柜前面板的明显部位应设置紧急时打开 柜门的装置。
11.0.14 火灾时消防水泵应工频运行,消防水泵应工频直接启 泵;当功率较大时,宜采用星三角和自耦降压变压器启动,不宜采 用有源器件启动。
消防水泵准工作状态的自动巡检应采用变频运行,定期人工 巡检应工频满负荷运行并出流。
11.0.15 当工频启动消防水泵时,从接通电路到水泵达到额定转 速的时间不宜大于表11.0.15的规定值。
表11.0.15 工频泵启动时间
| 配用电机功率(kW) | ≤132 | >132 |
| 消防水泵直接启动时间(s) | <30 | <55 |
11.0.16 电动驱动消防水泵自动巡检时,巡检功能应符合下列规定:
1 巡检周期不宜大于7d,且应能按需要任意设定;
2 以低频交流电源逐台驱动消防水泵,使每台消防水泵低速 转动的时间不应少于2min;
3 对消防水泵控制柜一 次回路中的主要低压器件宜有巡检 功能,并应检查器件的动作状态;
4 当有启泵信号时,应立即退出巡检,进入工作状态;
5 发现故障时,应有声光报警,并应有记录和储存功能;
6 自动巡检时,应设置电源自动切换功能的检查。
11.0.17 消防水泵的双电源切换应符合下列规定:
1 双路电源自动切换时间不应大于2s;
2 当一路电源与内燃机动力的切换时间不应大于15s。
11.0.18 消防水泵控制柜应有显示消防水泵工作状态和故障状 态的输出端子及远程控制消防水泵启动的输入端子。控制柜应具 有自动巡检可调、显示巡检状态和信号等功能,且对话界面应有汉 语语言,图标应便于识别和操作。
11.0.19 消火栓按钮不宜作为直接启动消防水泵的开关,但可作 为发出报警信号的开关或启动干式消火栓系统的快速启闭装 置等。
12 施 工
12.1 一 般 规 定
12.1.1 消防给水及消火栓系统的施工必须由具有相应等级资质 的施工队伍承担。
12.1.2 消防给水及消火栓系统分部工程、子分部工程、分项工程,宜按本规范附录 A 划分。
12.1.3 系统施工应按设计要求编制施工方案或施工组织设计。 施工现场应具有相应的施工技术标准、施工质量管理体系和工程 质量检验制度,并应按本规范附录B 的要求填写有关记录。
12.1.4 消防给水及消火栓系统施工前应具备下列条件:
1 施工图应经国家相关机构审查审核批准或备案后再施工;
2 平面图、系统图(展开系统原理图)、详图等图纸及说明书、 设备表、材料表等技术文件应齐全;
3 设计单位应向施工、建设、监理单位进行技术交底;
4 系统主要设备、组件、管材管件及其他设备、材料,应能保 证正常施工;
5 施工现场及施工中使用的水、电、气应满足施工要求。
12.1.5 消防给水及消火栓系统工程的施工,应按批准的工程设 计文件和施工技术标准进行施工。
12.1.6 消防给水及消火栓系统工程的施工过程质量控制,应按 下列规定进行:
1 应校对审核图纸复核是否同施工现场一致;
2 各工序应按施工技术标准进行质量控制,每道工序完成 后,应进行检查,并应检查合格后再进行下道工序;
3 相关各专业工种之间应进行交接检验,并应经监理工程师签证后再进行下道工序;
4 安装工程完工后,施工单位应按相关专业调试规定进行 调试;
5 调试完工后,施工单位应向建设单位提供质量控制资料和 各类施工过程质量检查记录;
6 施工过程质量检查组织应由监理工程师组织施工单位人 员组成;
7 施工过程质量检查记录应按本规范表 C.0.1 的要求 填写。
12.1.7 消防给水及消火栓系统质量控制资料应按本规范附录D 的要求填写。
12.1.8 分部工程质量验收应由建设单位组织施工、监理和设计 等单位相关人员进行,并应按本规范附录 E 的要求填写消防给水 及消火栓系统工程验收记录。
12.1.9 当建筑物仅设有消防软管卷盘或轻便水龙和 DN25 消火 栓时,其施工验收维护管理等应符合现行国家标准《建筑给水排水 及采暖工程施工质量验收规范》GB 50242 的有关规定。
12.2 进 场 检 验
12.2.1 消防给水及消火栓系统施工前应对采用的主要设备、系 统组件、管材管件及其他设备、材料进行进场检查,并应符合下列 要求:
1 主要设备、系统组件、管材管件及其他设备、材料,应符合国家 现行相关产品标准的规定,并应具有出厂合格证或质量认证书;
2 消防水泵、消火栓、消防水带、消防水枪、消防软管卷盘或 轻便水龙、报警阀组、电动(磁)阀、压力开关、流量开关、消防水泵 接合器、沟槽连接件等系统主要设备和组件,应经国家消防产品质 量监督检验中心检测合格;
3 稳压泵、气压水罐、消防水箱、自动排气阀、信号阀、止回阀、安全阀、减压阀、倒流防止器、蝶阀、闸阀、流量计、压力表、水位 计等,应经相应国家产品质量监督检验中心检测合格;
4 气压水罐、组合式消防水池、屋顶消防水箱、地下水取水和 地表水取水设施,以及其附件等,应符合国家现行相关产品标准的 规定。
检查数量:全数检查。
检查方法:检查相关资料。
12.2.2 消防水泵和稳压泵的检验应符合下列要求:
1 消防水泵和稳压泵的流量、压力和电机功率应满足设计 要求;
2 消防水泵产品质量应符合现行国家标准《消防泵》 GB 6245、《离心泵技术条件(I) 类》GB/T16907 或《离心泵技术 条件(Ⅱ类)》GB/T 5656 的有关规定;
3 稳压泵产品质量应符合现行国家标准《离心泵技术条件 (Ⅱ类)》GB/T 5656 的有关规定;
4 消防水泵和稳压泵的电机功率应满足水泵全性能曲线运 行的要求;
5 泵及电机的外观表面不应有碰损,轴心不应有偏心。
检查数量:全数检查。
检查方法:直观检查和查验认证文件。
12.2.3 消火栓的现场检验应符合下列要求:
1 室外消火栓应符合现行国家标准《室外消火栓》GB 4452 的性能和质量要求;
2 室内消火栓应符合现行国家标准《室内消火栓》GB 3445 的性能和质量要求;
3 消防水带应符合现行国家标准《消防水带》GB 6246 的性 能和质量要求;
4 消防水枪应符合现行国家标准《消防水枪》GB 8181 的性 能和质量要求;
5 消火栓、消防水带、消防水枪的商标、制造厂等标志应齐全;
6 消火栓、消防水带、消防水枪的型号、规格等技术参数应符 合设计要求;
7 消火栓外观应无加工缺陷和机械损伤;铸件表面应无结 疤、毛刺、裂纹和缩孔等缺陷;铸铁阀体外部应涂红色油漆,内表面 应涂防锈漆,手轮应涂黑色油漆;外部漆膜应光滑、平整、色泽一 致,应无气泡、流痕、皱纹等缺陷,并应无明显碰、划等现象;
8 消火栓螺纹密封面应无伤痕、毛刺、缺丝或断丝现象;
9 消火栓的螺纹出水口和快速连接卡扣应无缺陷和机械损 伤,并应能满足使用功能的要求;
10 消火栓阀杆升降或开启应平稳、灵活,不应有卡涩和松动 现象 ;
11 旋转型消火栓其内部构造应合理,转动部件应为铜或不 锈钢,并应保证旋转可靠、无卡涩和漏水现象;
12 减压稳压消火栓应保证可靠、无堵塞现象;
13 活动部件应转动灵活,材料应耐腐蚀,不应卡涩或脱扣;
14 消火栓固定接口应进行密封性能试验,应以无渗漏、无损 伤为合格。试验数量宜从每批中抽查1%,但不应少于5个,应缓 慢而均匀地升压1 .6MPa, 应 保 压 2min 。 当两个及两个以上不合 格时,不应使用该批消火栓。当仅有1个不合格时,应再抽查 2%,但不应少于10个,并应重新进行密封性能试验;当仍有不合 格时,亦不应使用该批消火栓;
15 消防水带的织物层应编织得均匀,表面应整洁;应无跳双 经、断双经、跳纬及划伤,衬里(或覆盖层)的厚度应均匀,表面应光 滑平整、无折皱或其他缺陷;
16 消防水枪的外观质量应符合本条第4款的有关规定,消 防水枪的进出口口径应满足设计要求;
17 消火栓箱应符合现行国家标准《消火栓箱》GB14561 的 性能和质量要求;
18 消防软管卷盘和轻便水龙应符合现行国家标准《消防软 管卷盘》GB15090 和现行行业标准《轻便消防水龙》GA 180 的性 能和质量要求。
外观和一般检查数量:全数检查。
检查方法:直观和尺量检查。
性能检查数量:抽查符合本条第14款的规定。
检查方法:直观检查及在专用试验装置上测试,主要测试设备 有试压泵、压力表、秒表。
12.2.4 消防炮、洒水喷头、泡沫产生装置、泡沫比例混合装置、泡 沫液压力储罐和泡沫喷头等水灭火系统的专用组件的进场检查,应符 合现行国家标准《自动喷水灭火系统施工及验收规范》GB 50261、《泡 沫灭火系统施工及验收规范》GB 50281 等的有关规定。
12.2.5 管材、管件应进行现场外观检查,并应符合下列要求:
1 镀锌钢管应为内外壁热镀锌钢管,钢管内外表面的镀锌层 不应有脱落、锈蚀等现象,球墨铸铁管球墨铸铁内涂水泥层和外涂 防腐涂层不应脱落,不应有锈蚀等现象,钢丝网骨架塑料复合管管 道壁厚度均匀、内外壁应无划痕,各种管材管件应符合表12.2.5 所列相应标准;
表12.2.5 消防给水管材及管件标准
| 序号 | 国家现行标准 | 管材及管件 |
| 1 | 《低压流体输送用焊接钢管》GB/T 3091 | 低压流体输送用镀锌焊接钢管 |
| 2 | 《输送流体用无缝钢管》GB/T 8163 | 输送流体用无缝钢管 |
| 3 | 《柔性机械接口灰口铸铁管》GB/T 6483 | 柔性机械接口铸铁管和管件 |
| 4 | 《水及燃气管道用球墨铸铁管、 管件和附件》GB/T 13295 | 离心铸造球墨铸铁管和管件 |
| 5 | 《流体输送用不锈钢无缝钢管》GB/T 14976 | 流体输送用不锈钢无缝钢管 |
| 6 | 《自动喷水灭火系统 第11部分: 沟槽式管接件》GB 5135.11 | 沟槽式管接件 |
| 7 | 《钢丝网骨架塑料(聚乙烯)复合管》CJ/T 189 | 钢丝网骨架塑料(PE)复合管 |
2 表面应无裂纹、缩孔、夹渣、折叠和重皮;
3 管材管件不应有妨碍使用的凹凸不平的缺陷,其尺寸公差 应符合本规范表12.2.5的规定;
4 螺纹密封面应完整、无损伤、无毛刺;
5 非金属密封垫片应质地柔韧、无老化变质或分层现象,表 面应无折损、皱纹等缺陷;
6 法兰密封面应完整光洁,不应有毛刺及径向沟槽;螺纹法 兰的螺纹应完整、无损伤;
7 不圆度应符合本规范表12.2.5的规定;
8 球墨铸铁管承口的内工作面和插口的外工作面应光滑、轮 廓清晰,不应有影响接口密封性的缺陷;
9 钢丝网骨架塑料(PE) 复合管内外壁应光滑、无划痕,钢丝 骨料与塑料应黏结牢固等。
检查数量:全数检查。
检查方法:直观和尺量检查。
12.2.6 阀门及其附件的现场检验应符合下列要求:
1 阀门的商标、型号、规格等标志应齐全,阀门的型号、规格 应符合设计要求;
2 阀门及其附件应配备齐全,不应有加工缺陷和机械损伤;
3 报警阀和水力警铃的现场检验,应符合现行国家标准《自 动喷水灭火系统施工及验收规范》GB 50261的有关规定;
4 闸阀、截止阀、球阀、蝶阀和信号阀等通用阀门,应符合现 行国家标准《通用阀门 压力试验》GB/T 13927 和《自动喷水灭 火系统 第6部分:通用阀门》GB5135.6 等的有关规定;
5 消防水泵接合器应符合现行国家标准《消防水泵接合器》 GB 3446 的性能和质量要求;
6 自动排气阀、减压阀、泄压阀、止回阀等阀门性能,应符合 现行国家标准《通用阀门 压力试验》GB/T 13927、《自动喷水灭 火系统 第6部分:通用阀门》GB5135.6、《压力释放装置 性能
试验规范》GB/T 12242《减压阀 性能试验方法》GB/T 12245、 《安全阀 一 般 要 求 》GB/T 12241、《阀门的检验与试验》 JB/T9092 等的有关规定;
7 阀门应有清晰的铭牌、安全操作指示标志、产品说明书和 水流方向的永久性标志。
检查数量:全数检查。
检查方法:直观检查及在专用试验装置上测试,主要测试设备 有试压泵、压力表、秒表。
12.2.7 消防水泵控制柜的检验应符合下列要求:
1 消防水泵控制柜的控制功能应符合本规范第11章和设计 要求,并应经国家批准的质量监督检验中心检测合格的产品;
2 控制柜体应端正,表面应平整,涂层颜色应均匀一致,应无眩光,并应符合现行国家标准《高度进制为20mm 的面板、架和柜 的基本尺寸系列》GB/T3047.1 的有关规定,且控制柜外表面不 应有明显的磕碰伤痕和变形掉漆;
3 控制柜面板应设有电源电压、电流、水泵(启)停状况、巡检 状况、火警及故障的声光报警等显示;
4 控制柜导线的颜色应符合现行国家标准《电工成套装置中 的导线颜色》GB/T2681 的有关规定;
5 面板上的按钮、开关、指示灯应易于操作和观察且有功 能标示,并应符合现行国家标准《电工成套装置中的导线颜 色》GB/T2681 和《电工成套装置中的指示灯和按钮的颜色》 GB/T 2682的有关规定;
6 控制柜内的电器元件及材料的选用,应符合现行国家标准 《控制用电磁继电器可靠性试验通则》GB/T15510 等的有关规 定,并应安装合理,其工作位置应符合产品使用说明书的规定;
7 控制柜应按现行国家标准《电工电子产品基本环境试验第2部分:试验方法 试验 A: 低温》GB/T 2423.1的有关规定进 行低温实验检测,检测结果不应产生影响正常工作的故障;
8 控制柜应按现行国家标准《电工电子产品基本环境试验
第2部分:试验方法 试验 B: 高温》GB/T 2423.2的有关规定进 行高温试验检测,检测结果不应产生影响正常工作的故障;
9 控制柜应按现行行业标准《固定消防给水设备的性能要求 和试验方法 第2部分:消防自动恒压给水设备》GA30.2 的有关 规定进行湿热试验检测,检测结果不应产生影响工作的故障;
10 控制柜应按现行行业标准《固定消防给水设备的性能要 求和试验方法 第2部分:消防自动恒压给水设备》GA30.2 的有 关规定进行振动试验检测,检测结果柜体结构及内部零部件应完 好无损,并不应产生影响正常工作的故障;
11 控制柜温升值应按现行国家标准《低压成套开关设备和 控制设备 第1部分:型式试验和部分型式试验成套设备》GB/T 7251.1的有关规定进行试验检测,检测结果不应产生影响正常工 作的故障;
12 控制柜中各带电回路之间及带电间隙和爬电距离,应按 现行行业标准《固定消防给水设备的性能要求和试验方法 第 2 部分:消防自动恒压给水设备》GA 30.2的有关规定进行试验检 测,检测结果不应产生影响正常工作的故障;
13 金属柜体上应有接地点,且其标志、线号标记、线径应按 现行行业标准《固定消防给水设备的性能要求和试验方法 第 2 部分:消防自动恒压给水设备》GA 30.2的有关规定检测绝缘电 阻;控制柜中带电端子与机壳之间的绝缘电阻应大于20MΩ,电源 接线端子与地之间的绝缘电阻应大于50MQ;
14 控制柜的介电强度试验应按现行国家标准《电气控制设 备》GB/T3797 的有关规定进行介电强度测试,测试结果应无击 穿、无闪络;
15 在控制柜的明显部位应设置标志牌和控制原理图等;
16 设备型号、规格、数量、标牌、线路图纸及说明书、设备表、 材料表等技术文件应齐全,并应符合设计要求。
检查数量:全数检查。
检查方法:直观检查和查验认证文件。
12.2.8 压力开关、流量开关、水位显示与控制开关等仪表的进场
检验,应符合下列要求:
1 性能规格应满足设计要求;
2 压力开关应符合现行国家标准《自动喷水灭火系统 第 10部分:压力开关》GB5135.10 的性能和质量要求;
3 水位显示与控制开关应符合现行国家标准《水位测量仪 器》GB/T11828 等的有关规定;
4 流量开关应能在管道流速为0.1m/s~10m/s 时可靠启 动,其他性能宜符合现行国家标准《自动喷水灭火系统 第 7 部 分:水流指示器》GB 5135.7的有关规定;
5 外观完整不应有损伤。
检查数量:全数检查。
检查方法:直观检查和查验认证文件。
12.3 施 工
12.3.1 消防给水及消火栓系统的安装应符合下列要求:
1 消防水泵、消防水箱、消防水池、消防气压给水设备、消防 水泵接合器等供水设施及其附属管道安装前,应清除其内部污垢 和杂物;
2 消防供水设施应采取安全可靠的防护措施,其安装位置应 便于日常操作和维护管理;
3 管道的安装应采用符合管材的施工工艺,管道安装中断时,其敞口处应封闭。
12.3.2 消防水泵的安装应符合下列要求:
1 消防水泵安装前应校核产品合格证,以及其规格、型号和 性能与设计要求应一致,并应根据安装使用说明书安装;
2 消防水泵安装前应复核水泵基础混凝土强度、隔振装置、坐标、标高、尺寸和螺栓孔位置;
3 消防水泵的安装应符合现行国家标准《机械设备安装工程 施工及验收通用规范》GB 50231 和《风机、压缩机、泵安装工程施 工及验收规范》GB 50275的有关规定;
4 消防水泵安装前应复核消防水泵之间,以及消防水泵与墙 或其他设备之间的间距,并应满足安装、运行和维护管理的要求;
5 消防水泵吸水管上的控制阀应在消防水泵固定于基础上 后再进行安装,其直径不应小于消防水泵吸水口直径,且不应采用 没有可靠锁定装置的控制阀,控制阀应采用沟漕式或法兰式阀门;
6 当消防水泵和消防水池位于独立的两个基础上且相互为 刚性连接时,吸水管上应加设柔性连接管;
7 吸水管水平管段上不应有气囊和漏气现象。变径连接时, 应采用偏心异径管件并应采用管顶平接;
8 消防水泵出水管上应安装消声止回阀、控制阀和压力表; 系统的总出水管上还应安装压力表和压力开关;安装压力表时应 加设缓冲装置。压力表和缓冲装置之间应安装旋塞;压力表量程 在没有设计要求时,应为系统工作压力的2倍~2.5倍;
9 消防水泵的隔振装置、进出水管柔性接头的安装应符合设 计要求,并应有产品说明和安装使用说明。
检查数量:全数检查。
检查方法:核实设计图、核对产品的性能检验报告、直观检查。
12.3.3 天然水源取水口、地下水井、消防水池和消防水箱安装施 工,应符合下列要求:
1 天然水源取水口、地下水井、消防水池和消防水箱的水位、 出水量、有效容积、安装位置,应符合设计要求;
2 天然水源取水口、地下水井、消防水池、消防水箱的施工和 安装,应符合现行国家标准《给水排水构筑物工程施工及验收规 范》GB50141、《供水管井技术规范》GB 50296 和《建筑给水排水 及采暖工程施工质量验收规范》GB 50242的有关规定;
3 消防水池和消防水箱出水管或水泵吸水管应满足最低有 效水位出水不掺气的技术要求;
4 安装时池外壁与建筑本体结构墙面或其他池壁之间的净 距,应满足施工、装配和检修的需要;
5 钢筋混凝土制作的消防水池和消防水箱的进出水等管道 应加设防水套管,钢板等制作的消防水池和消防水箱的进出水等 管道宜采用法兰连接,对有振动的管道应加设柔性接头。组合式 消防水池或消防水箱的进水管、出水管接头宜采用法兰连接,采用 其他连接时应做防锈处理;
6 消防水池、消防水箱的溢流管、泄水管不应与生产或生活 用水的排水系统直接相连,应采用间接排水方式。
检查数量:全数检查。
检查方法:核实设计图、直观检查。
12.3.4 气压水罐安装应符合下列要求:
1 气压水罐有效容积、气压、水位及设计压力应符合设计 要求;
2 气压水罐安装位置和间距、进水管及出水管方向应符合设 计要求;出水管上应设止回阀;
3 气压水罐宜有有效水容积指示器。
检查数量:全数检查。
检查方法:核实设计图、核对产品的性能检验报告、直观检查。
12.3.5 稳压泵的安装应符合下列要求:
1 规格、型号、流量和扬程应符合设计要求,并应有产品合格 证和安装使用说明书;
2 稳压泵的安装应符合现行国家标准《机械设备安装工程施 工及验收通用规范》GB 50231 和《风机、压缩机、泵安装工程施工 及验收规范》GB 50275的有关规定。
检查数量:全数检查。
检查方法:尺量和直观检查。
1 消防水泵接合器的安装,应按接口、本体、连接管、止回阀、 安全阀、放空管、控制阀的顺序进行,止回阀的安装方向应使消防 用水能从消防水泵接合器进入系统,整体式消防水泵接合器的安 装,应按其使用安装说明书进行;
2 消防水泵接合器的设置位置应符合设计要求;
3 消防水泵接合器永久性固定标志应能识别其所对应的消防给水系统或水灭火系统,当有分区时应有分区标识;
4 地下消防水泵接合器应采用铸有“消防水泵接合器”标志 的铸铁井盖,并应在其附近设置指示其位置的永久性固定标志;
5 墙壁消防水泵接合器的安装应符合设计要求。设计无要 求时,其安装高度距地面宜为0.7m; 与墙面上的门、窗、孔、洞的净 距离不应小于2 .0m, 且不应安装在玻璃幕墙下方;
6 地下消防水泵接合器的安装,应使进水口与井盖底面的距 离不大于0 .4m, 且不应小于井盖的半径;
7 消火栓水泵接合器与消防通道之间不应设有妨碍消防车 加压供水的障碍物;
8 地下消防水泵接合器井的砌筑应有防水和排水措施。
检查数量:全数检查。
检查方法:核实设计图、核对产品的性能检验报告、直观检查。
12.3.7 市政和室外消火栓的安装应符合下列规定:
1 市政和室外消火栓的选型、规格应符合设计要求;
2 管道和阀门的施工和安装,应符合现行国家标准《给水排 水管道工程施工及验收规范》GB 50268、《建筑给水排水及采暖工 程施工质量验收规范》GB 50242的有关规定;
3 地下式消火栓顶部进水口或顶部出水口应正对井口。顶 部进水口或顶部出水口与消防井盖底面的距离不应大于0.4m, 井 内应有足够的操作空间,并应做好防水措施;
4 地下式室外消火栓应设置永久性固定标志;
5 当室外消火栓安装部位火灾时存在可能落物危险时,上方 应采取防坠落物撞击的措施下
6 市政和室外消火栓安装位置应符合设计要求,且不应妨碍 交通,在易碰撞的地点应设置防撞设施。
检查数量:按数量抽查30%,但不应小于10个。
检查方法:核实设计图、核对产品的性能检验报告、直观检查。
12.3.8 市政消防水鹤的安装应符合下列规定:
1 市政消防水鹤的选型、规格应符合设计要求;
2 管道和阀门的施工和安装,应符合现行国家标准《给水排 水管道工程施工及验收规范》GB 50268、《建筑给水排水及采暖工 程施工质量验收规范》GB 50242 的有关规定;
3 市政消防水鹤的安装空间应满足使用要求,并不应妨碍市 政道路和人行道的畅通。
检查数量:全数检查。
检查方法:核实设计图、核对产品的性能检验报告、直观检查。
12.3.9 室内消火栓及消防软管卷盘或轻便水龙的安装应符合下 列规定:
1 室内消火栓及消防软管卷盘和轻便水龙的选型、规格应符 合设计要求;
2 同一建筑物内设置的消火栓、消防软管卷盘和轻便水龙应 采用统一规格的栓口、消防水枪和水带及配件;
3 试验用消火栓栓口处应设置压力表;
4 当消火栓设置减压装置时,应检查减压装置符合设计要 求,且安装时应有防止砂石等杂物进入栓口的措施;
5 室内消火栓及消防软管卷盘和轻便水龙应设置明显的永 久性固定标志,当室内消火栓因美观要求需要隐蔽安装时,应有明 显的标志,并应便于开启使用;
6 消火栓栓口出水方向宜向下或与设置消火栓的墙面成 90°角,栓口不应安装在门轴侧;
7 消火栓栓口中心距地面应为1.1m, 特殊地点的高度可特 殊对待,允许偏差±20mm。
检查数量:按数量抽查30%,但不应小于10个。
检验方法:核实设计图、核对产品的性能检验报告、直观检查。
12.3.10 消火栓箱的安装应符合下列规定:
1 消火栓的启闭阀门设置位置应便于操作使用,阀门的中心 距箱侧面应为140mm, 距箱后内表面应为100mm, 允许偏差 士5mm;
2 室内消火栓箱的安装应平正、牢固,暗装的消火栓箱不应 破坏隔墙的耐火性能;
3 箱体安装的垂直度允许偏差为±3mm;
4 消火栓箱门的开启不应小于120°;
5 安装消火栓水龙带,水龙带与消防水枪和快速接头绑扎好 后,应根据箱内构造将水龙带放置;
6 双向开门消火栓箱应有耐火等级应符合设计要求,当设计 没有要求时应至少满足1h 耐火极限的要求;
7 消火栓箱门上应用红色字体注明“消火栓”字样。 检查数量:按数量抽查30%,但不应小于10个。
检验方法:直观和尺量检查。
12.3.11 当管道采用螺纹、法兰、承插、卡压等方式连接时,应符 合下列要求:
1 采用螺纹连接时,热浸镀锌钢管的管件宜采用现行国家标 准《可锻铸铁管路连接件》GB3287、《可锻铸铁管路连接件验收规 则》GB3288、《可锻铸铁管路连接件型式尺寸》GB 3289的有关规 定,热浸镀锌无缝钢管的管件宜采用现行国家标准《锻钢制螺纹管 件》GB/T14626 的有关规定;
2 螺纹连接时螺纹应符合现行国家标准《55°密封管螺纹
第2部分:圆锥内螺纹与圆锥外螺纹》GB 7306.2 的有关规定,宜 采用密封胶带作为螺纹接口的密封,密封带应在阳螺纹上施加;
3 法兰连接时法兰的密封面形式和压力等级应与消防给水 系统技术要求相符合;法兰类型宜根据连接形式采用平焊法兰、对 焊法兰和螺纹法兰等,法兰选择应符合现行国家标准《钢制管法兰 类型与参数》GB 9112、《整体钢制管法兰》GB/T 9113、《钢制对焊 无缝管件》GB/T 12459 和《管法兰用聚四氟乙烯包覆垫片》 GB/T13404 的有关规定;
4 当热浸镀锌钢管采用法兰连接时应选用螺纹法兰,当必须 焊接连接时,法兰焊接应符合现行国家标准《现场设备、工业管道 焊接工程施工规范》GB 50236 和《工业金属管道工程施工规范》 GB 50235 的有关规定;
5 球墨铸铁管承插连接时,应符合现行国家标准《给水排水管道工程施工及验收规范》GB 50268 的有关规定;
6 钢丝网骨架塑料复合管施工安装时除应符合本规范的有 关规定外,还应符合现行行业标准《埋地聚乙烯给水管道工程技术 规程》CJJ101 的有关规定;
7 管径大于 DN50 的管道不应使用螺纹活接头,在管道变径 处应采用单体异径接头。
检查数量:按数量抽查30%,但不应小于10个。
检验方法:直观和尺量检查。
12.3.12 沟槽连接件(卡箍)连接应符合下列规定:
1 沟槽式连接件(管接头)、钢管沟槽深度和钢管壁厚等,应 符合现行国家标准《自动喷水灭火系统 第11部分:沟槽式管接 件》GB5135.11 的有关规定;
2 有振动的场所和埋地管道应采用柔性接头,其他场所宜采 用刚性接头,当采用刚性接头时,每隔4个~5个刚性接头应设置 一个挠性接头,埋地连接时螺栓和螺母应采用不锈钢件;
3 沟槽式管件连接时,其管道连接沟槽和开孔应用专用滚槽 机和开孔机加工,并应做防腐处理;连接前应检查沟槽和孔洞尺 寸,加工质量应符合技术要求;沟槽、孔洞处不应有毛刺、破损性裂纹和脏物;
4 沟槽式管件的凸边应卡进沟槽后再紧固螺栓,两边应同时 紧固,紧固时发现橡胶圈起皱应更换新橡胶圈;
5 机械三通连接时,应检查机械三通与孔洞的间隙,各部位 应均匀,然后再紧固到位;机械三通开孔间距不应小于1m, 机械四 通开孔间距不应小于2m; 机械三通、机械四通连接时支管的直径 应满足表12.3.12的规定,当主管与支管连接不符合表12.3.12 时应采用沟槽式三通、四通管件连接;
表12.3.12 机械三通、机械四通连接时支管直径
| 主管直径DN | 65 | 80 | 100 | 125 | 150 | 200 | 250 | 300 | |
| 支管直径 DN | 机械三通 | 40 | 40 | 65 | 80 | 100 | 100 | 100 | 100 |
| 机械四通 | 32 | 32 | 50 | 65 | 80 | 100 | 100 | 100 | |
6 配水干管(立管)与配水管(水平管)连接,应采用沟槽式管 件,不应采用机械三通;
7 埋地的沟槽式管件的螺栓、螺帽应做防腐处理。水泵房内
的埋地管道连接应采用挠性接头;
8 采用沟槽连接件连接管道变径和转弯时,宜采用沟槽式异 径管件和弯头;当需要采用补芯时,三通上可用一个,四通上不应 超过二个;公称直径大于50mm 的管道不宜采用活接头;
9 沟槽连接件应采用三元乙丙橡胶(EDPM)C 型密封胶圈, 弹性应良好,应无破损和变形,安装压紧后C 型密封胶圈中间应 有空隙。
检查数量:按数量抽查30%,不应少于10件。
检验方法:直观和尺量检查。
12.3.13 钢丝网骨架塑料复合管材、管件以及管道附件的连接, 应符合下列要求:
1 钢丝网骨架塑料复合管材、管件以及管道附件,应采用同 一品牌的产品;管道连接宜采用同种牌号级别,且压力等级相同的 管材、管件以及管道附件。不同牌号的管材以及管道附件之间的连接,应经过试验,并应判定连接质量能得到保证后再连接;
2 连接应采用电熔连接或机械连接,电熔连接宜采用电熔承 插连接和电熔鞍形连接;机械连接宜采用锁紧型和非锁紧型承插 式连接、法兰连接、钢塑过渡连接;
3 钢丝网骨架塑料复合管给水管道与金属管道或金属管道 附件的连接,应采用法兰或钢塑过渡接头连接,与直径小于或等于 DN50 的镀锌管道或内衬塑镀锌管的连接,宜采用锁紧型承插式 连接;
4 管道各种连接应采用相应的专用连接工具;
5 钢丝网骨架塑料复合管材、管件与金属管、管道附件的连 接,当采用钢制喷塑或球墨铸铁过渡管件时,其过渡管件的压力等 级不应低于管材公称压力;
6 在-5℃以下或大风环境条件下进行热熔或电熔连接操作 时,应采取保护措施,或调整连接机具的工艺参数;
7 管材、管件以及管道附件存放处与施工现场温差较大时, 连接前应将钢丝网骨架塑料复合管管材、管件以及管道附件在施 工现场放置一段时间,并应使管材的温度与施工现场的温度相当;
8 管道连接时,管材切割应采用专用割刀或切管工具,切割 断面应平整、光滑、无毛刺,且应垂直于管轴线;
9 管道合拢连接的时间宜为常年平均温度,且宜为第二天上 午的8时~10时;
10 管道连接后,应及时检查接头外观质量。
检查数量:按数量抽查30%,不应少于10件。
检验方法:直观检查。
12.3.14 钢丝网骨架塑料复合管材、管件电熔连接,应符合下列要求:
1 电熔连接机具输出电流、电压应稳定,并应符合电熔连接 工艺要求;
2 电熔连接机具与电熔管件应正确连通,连接时,通电加热
的电压和加热时间应符合电熔连接机具和电熔管件生产企业的 规定;
3 电熔连接冷却期间,不应移动连接件或在连接件上施加任 何外力;
4 电熔承插连接应符合下列规定:
1)测量管件承口长度,并在管材插入端标出插入长度标记,用专用工具刮除插入段表皮;
2)用洁净棉布擦净管材、管件连接面上的污物; 3)将管材插入管件承口内,直至长度标记位置;
4)通电前,应校直两对应的待连接件,使其在同一轴线上, 用整圆工具保持管材插入端的圆度。
5 电熔鞍形连接应符合下列规定:
1)电熔鞍形连接应采用机械装置固定干管连接部位的管段,并确保管道的直线度和圆度;
2)干管连接部位上的污物应使用洁净棉布擦净,并用专用工具刮除干管连接部位表皮;
3)通电前,应将电熔鞍形连接管件用机械装置固定在干管连接部位。
检查数量:按数量抽查30%,不应少于10件。
检验方法:直观检查。
12.3.15 钢丝网骨架塑料复合管管材、管件法兰连接应符合下列 要求:
1 钢丝网骨架塑料复合管管端法兰盘(背压松套法兰)连接, 应先将法兰盘(背压松套法兰)套入待连接的聚乙烯法兰连接件 (跟形管端)的端部,再将法兰连接件(跟形管端)平口端与管道按 本规范第12.3.13条第2款电熔连接的要求进行连接;
2 两法兰盘上螺孔应对中,法兰面应相互平行,螺孔与螺栓 直径应配套,螺栓长短应一致,螺帽应在同一侧;紧固法兰盘上螺 栓时应按对称顺序分次均匀紧固,螺栓拧紧后宜伸出螺帽1丝扣~3丝扣;
3 法兰垫片材质应符合现行国家标准《钢制管法兰 类型与 参数》GB9112 和《整体钢制管法兰》GB/T9113 的有关规定,松套 法兰表面宜采用喷塑防腐处理;
4 法兰盘应采用钢质法兰盘且应采用磷化镀铬防腐处理。 检查数量:按数量抽查30%,不应少于10件。
检验方法:直观检查。
12.3.16 钢丝网骨架塑料复合管道钢塑过渡接头连接应符合下列要求:
1 钢塑过渡接头的钢丝网骨架塑料复合管管端与聚乙烯管 道连接,应符合热熔连接或电熔连接的规定;
2 钢塑过渡接头钢管端与金属管道连接应符合相应的钢管 焊接、法兰连接或机械连接的规定;
3 钢塑过渡接头钢管端与钢管应采用法兰连接,不得采用焊 接连接,当必须焊接时,应采取降温措施;
4 公称外径大于或等于dn110 的钢丝网骨架塑料复合管与 管径大于或等于 DN100 的金属管连接时,可采用人字形柔性接口 配件,配件两端的密封胶圈应分别与聚乙烯管和金属管相配套;
5 钢丝网骨架塑料复合管和金属管、阀门相连接时,规格尺 寸应相互配套。
检查数量:按数量抽查30%,不应少于10件。
检验方法:直观检查。
12.3.17 埋地管道的连接方式和基础支墩应符合下列要求:
1 地震烈度在7度及7度以上时宜采用柔性连接的金属管道或钢丝网骨架塑料复合管等;
2 当采用球墨铸铁时宜采用承插连接;
3 当采用焊接钢管时宜采用法兰和沟槽连接件连接;
4 当采用钢丝网骨架塑料复合管时应采用电熔连接;
5 埋地管道的施工时除符合本规范的有关规定外,还应符合现行国家标准《给水排水管道工程施工及验收规范》GB 50268 的 有关规定;
6 埋地消防给水管道的基础和支墩应符合设计要求,当设计 对支墩没有要求时,应在管道三通或转弯处设置混凝土支墩。
检查数量:全部检查。
检验方法:直观检查。
12.3.18 架空管道应采用热浸镀锌钢管,并宜采用沟槽连接件、 螺纹、法兰和卡压等方式连接;架空管道不应安装使用钢丝网骨架 塑料复合管等非金属管道。
检查数量:全部检查。
检验方法:直观检查。
12.3.19 架空管道的安装位置应符合设计要求,并应符合下列规定:
1 架空管道的安装不应影响建筑功能的正常使用,不应影响 和妨碍通行以及门窗等开启;
2 当设计无要求时,管道的中心线与梁、柱、楼板等的最小距 离应符合表12.3.19的规定;
表12.3.19 管道的中心线与梁、柱、楼板等的最小距离
| 公称直径(mm) | 25 | 32 | 40 | 50 | 70 | 80 | 100 | 125 | 150 | 200 |
| 距离(mm) | 40 | 40 | 50 | 60 | 70 | 80 | 100 | 125 | 150 | 200 |
3 消防给水管穿过地下室外墙、构筑物墙壁以及屋面等有防 水要求处时,应设防水套管;
4 消防给水管穿过建筑物承重墙或基础时,应预留洞口,洞 口高度应保证管顶上部净空不小于建筑物的沉降量,不宜小于 0.1m, 并应填充不透水的弹性材料;
5 消防给水管穿过墙体或楼板时应加设套管,套管长度不应 小于墙体厚度,或应高出楼面或地面50mm; 套管与管道的间隙应 采用不燃材料填塞,管道的接口不应位于套管内;
6 消防给水管必须穿过伸缩缝及沉降缝时,应采用波纹管和补偿器等技术措施;
7 消防给水管可能发生冰冻时,应采取防冻技术措施;
8 通过及敷设在有腐蚀性气体的房间内时,管外壁应刷防腐 漆或缠绕防腐材料。
检查数量:按数量抽查30%,不应少于10件。
检验方法:尺量检查。
12.3.20 架空管道的支吊架应符合下列规定:
1 架空管道支架、吊架、防晃或固定支架的安装应固定牢固,其型式、材质及施工应符合设计要求;
2 设计的吊架在管道的每一支撑点处应能承受5倍于充满 水的管重,且管道系统支撑点应支撑整个消防给水系统;
3 管道支架的支撑点宜设在建筑物的结构上,其结构在管道 悬吊点应能承受充满水管道重量另加至少114kg 的阀门、法兰和 接头等附加荷载,充水管道的参考重量可按表12.3.20-1选取;
表12.3.20-1 充水管道的参考重量
| 公称直径(mm) | 25 | 32 | 40 | 50 | 70 | 80 | 100 | 125 | 150 | 200 |
| 保温管道(kg/m) | 15 | 18 | 19 | 22 | 27 | 32 | 41 | 54 | 66 | 103 |
| 不保温管道(kg/m) | 5 | 7 | 7 | 9 | 13 | 17 | 22 | 33 | 42 | 73 |
注:1 计算管重量按10kg化整,不足20kg按20kg 计算;
2 表中管重不包括阀门重量。
4 管道支架或吊架的设置间距不应大于表12.3.20-2 的要求;
表12.3.20-2 管道支架或吊架的设置间距
| 管径(mm) | 25 | 32 | 40 | 50 | 70 | 80 |
| 间距(m) | 3.5 | 4.0 | 4.5 | 5.0 | 6.0 | 6.0 |
| 管径(mm) | 100 | 125 | 150 | 200 | 250 | 300 |
| 间距(m) | 6.5 | 7.0 | 8.0 | 9.5 | 11.0 | 12.0 |
5 当管道穿梁安装时,穿梁处宜作为一个吊架;
6 下列部位应设置固定支架或防晃支架:
1)配水管宜在中点设一个防晃支架,但当管径小于DN50 时可不设;
2)配水干管及配水管,配水支管的长度超过15m, 每15m 长度内应至少设1个防晃支架,但当管径不大于DN40 可不设;
3)管径大于DN50 的管道拐弯、三通及四通位置处应设1 个防晃支架;
4)防晃支架的强度,应满足管道、配件及管内水的重量再加 50%的水平方向推力时不损坏或不产生永久变形;当管 道穿梁安装时,管道再用紧固件固定于混凝土结构上,宜 可作为1个防晃支架处理。
检查数量:按数量抽查30%,不应少于10件。
检验方法:尺量检查。
12.3.21 架空管道每段管道设置的防晃支架不应少于1个;当管 道改变方向时,应增设防晃支架;立管应在其始端和终端设防晃支 架或采用管卡固定。
检查数量:按数量抽查30%,不应少于10件。
检验方法:直观检查。
12.3.22 埋地钢管应做防腐处理,防腐层材质和结构应符合设计 要求,并应按现行国家标准《给水排水管道工程施工及验收规范》 GB50268 的有关规定施工;室外埋地球墨铸铁给水管要求外壁应 刷沥青漆防腐;埋地管道连接用的螺栓、螺母以及垫片等附件应采 用防腐蚀材料,或涂覆沥青涂层等防腐涂层;埋地钢丝网骨架塑料 复合管不应做防腐处理。
检查数量:按数量抽查30%,不应少于10件。
检验方法:放水试验、观察、核对隐蔽工程记录,必要时局部解剖检查。
12.3.23 地震烈度在7度及7度以上时,架空管道保护应符合下列要求:
1 地震区的消防给水管道宜采用沟槽连接件的柔性接头或 间隙保护系统的安全可靠性;
2 应用支架将管道牢固地固定在建筑上;
3 管道应有固定部分和活动部分组成;
4 当系统管道穿越连接地面以上部分建筑物的地震接缝时, 无论管径大小,均应设带柔性配件的管道地震保护装置;
5 所有穿越墙、楼板、平台以及基础的管道,包括泄水管,水 泵接合器连接管及其他辅助管道的周围应留有间隙;
6 管道周围的间隙,DN25~DN80 管径的管道,不应小于 25mm,DN100 及以上管径的管道,不应小于50mm; 间隙内应填 充腻子等防火柔性材料;
7 竖向支撑应符合下列规定:
1)系统管道应有承受横向和纵向水平载荷的支撑;
2)竖向支撑应牢固且同心,支撑的所有部件和配件应在同一直线上;
3)对供水主管,竖向支撑的间距不应大于24m;
4)立管的顶部应采用四个方向的支撑固定;
5)供水主管上的横向固定支架,其间距不应大于12m。 检查数量:按数量抽查30%,不应少于10件。
检验方法:直观检查。
12.3.24 架空管道外应刷红色油漆或涂红色环圈标志,并应注明 管道名称和水流方向标识。红色环圈标志,宽度不应小于20mm, 间隔不宜大于4m, 在一个独立的单元内环圈不宜少于2处。
检查数量:按数量抽查30%,不应少于10件。
检验方法:直观检查。
12.3.25 消防给水系统阀门的安装应符合下列要求:
1 各类阀门型号、规格及公称压力应符合设计要求;
2 阀门的设置应便于安装维修和操作,且安装空间应能满足阀门完全启闭的要求,并应作出标志;
3 阀门应有明显的启闭标志;
4 消防给水系统干管与水灭火系统连接处应设置独立阀门, 并应保证各系统独立使用。
检查数量:全部检查。
检查方法:直观检查。
12.3.26 消防给水系统减压阀的安装应符合下列要求:
1 安装位置处的减压阀的型号、规格、压力、流量应符合设计 要求;
2 减压阀安装应在供水管网试压、冲洗合格后进行;
3 减压阀水流方向应与供水管网水流方向一致;
4 减压阀前应有过滤器;
5 减压阀前后应安装压力表;
6 减压阀处应有压力试验用排水设施。
检查数量:全数检查。
检验方法:核实设计图、核对产品的性能检验报告、直观检查。
12.3.27 控制柜的安装应符合下列要求:
1 控制柜的基座其水平度误差不大于±2mm, 并应做防腐 处理及防水措施;
2 控制柜与基座应采用不小于中12mm 的螺栓固定,每只柜 不应少于4只螺栓;
3 做控制柜的上下进出线口时,不应破坏控制柜的防护 等级。
检查数量:全部检查。
检查方法:直观检查。
12.4 试压和冲洗
12.4.1 消防给水及消火栓系统试压和冲洗应符合下列要求:
1 管网安装完毕后,应对其进行强度试验、冲洗和严密性试验;
2 强度试验和严密性试验宜用水进行。干式消火栓系统应 做水压试验和气压试验;
3 系统试压完成后,应及时拆除所有临时盲板及试验用的管 道,并应与记录核对无误,且应按本规范表C.0.2 的格式填写 记录;
4 管网冲洗应在试压合格后分段进行。冲洗顺序应先室外, 后室内;先地下,后地上;室内部分的冲洗应按供水干管、水平管和 立管的顺序进行;
5 系统试压前应具备下列条件:
1)埋地管道的位置及管道基础、支墩等经复查应符合设计 要求;
2)试压用的压力表不应少于2只;精度不应低于1.5级,量 程应为试验压力值的1.5倍~2倍;
3)试压冲洗方案已经批准;
4)对不能参与试压的设备、仪表、阀门及附件应加以隔离或 拆除;加设的临时盲板应具有突出于法兰的边耳,且应做 明显标志,并记录临时盲板的数量。
6 系统试压过程中,当出现泄漏时,应停止试压,并应放空管 网中的试验介质,消除缺陷后,应重新再试;
7 管网冲洗宜用水进行。冲洗前,应对系统的仪表采取保护 措施;
8 冲洗前,应对管道防晃支架、支吊架等进行检查,必要时应 采取加固措施;
9 对不能经受冲洗的设备和冲洗后可能存留脏物、杂物的管 段,应进行清理;
10 冲洗管道直径大于 DN100 时,应对其死角和底部进行振 动,但不应损伤管道;
11 管网冲洗合格后,应按本规范表 C.0.3 的要求填写记录;
12 水压试验和水冲洗宜采用生活用水进行,不应使用海水 或含有腐蚀性化学物质的水。
检查数量:全数检查。
检查方法:直观检查。
12.4.2 压力管道水压强度试验的试验压力应符合表12.4.2的规定。
检查数量:全数检查。
检查方法:直观检查。
表12.4.2 压力管道水压强度试验的试验压力
| 管材类型 | 系统工作压力P(MPa) | 试验压力(MPa) |
| 钢管 | ≤1.0 | 1.5P,且不应小于1.4 |
| >1.0 | P+0.4 | |
| 球墨铸铁管 | ≤0.5 | 2P |
| >0.5 | P+0.5 | |
| 钢丝网骨架塑料管 | P | 1.5P,且不应小于0.8 |
12.4.3 水压强度试验的测试点应设在系统管网的最低点。对管 网注水时,应将管网内的空气排净,并应缓慢升压,达到试验压力 后,稳压30min 后,管网应无泄漏、无变形,且压力降不应大于 0.05MPa。
检查数量:全数检查。
检查方法:直观检查。
12.4.4 水压严密性试验应在水压强度试验和管网冲洗合格后进 行。试验压力应为系统工作压力,稳压24h, 应无泄漏。
检查数量:全数检查。
检查方法:直观检查。
12.4.5 水压试验时环境温度不宜低于5℃,当低于5℃时,水压 试验应采取防冻措施。
检查数量:全数检查。
检查方法:用温度计检查。
12.4.6 消防给水系统的水源干管、进户管和室内埋地管道应在 回填前单独或与系统同时进行水压强度试验和水压严密性试验。
检查数量:全数检查。
检查方法:观察和检查水压强度试验和水压严密性试验记录。
12.4.7 气压严密性试验的介质宜采用空气或氮气,试验压力应 为0.28MPa, 且稳压24h, 压力降不应大于0.01MPa。
检查数量:全数检查。
检查方法:直观检查。
12.4.8 管网冲洗的水流流速、流量不应小于系统设计的水流流 速、流量;管网冲洗宜分区、分段进行;水平管网冲洗时,其排水管 位置应低于冲洗管网。
检查数量:全数检查。
检查方法:使用流量计和直观检查。
12.4.9 管网冲洗的水流方向应与灭火时管网的水流方向一致。
检查数量:全数检查。
检查方法:直观检查。
12.4.10 管网冲洗应连续进行。当出口处水的颜色、透明度与入 口处水的颜色、透明度基本一致时,冲洗可结束。
检查数量:全数检查。
检查方法:直观检查。
12.4.11 管网冲洗宜设临时专用排水管道,其排放应畅通和安 全。排水管道的截面面积不应小于被冲洗管道截面面积的60%。
检查数量:全数检查。
检查方法:直观和尺量、试水检查。
12.4.12 管网的地上管道与地下管道连接前,应在管道连接处加 设堵头后,对地下管道进行冲洗。
检查数量:全数检查。
12.4.13 管网冲洗结束后,应将管网内的水排除干净。
检查数量:全数检查。
检查方法:直观检查。
12.4.14 干式消火栓系统管网冲洗结束,管网内水排除干净后, 宜采用压缩空气吹干。
检查数量:全数检查。
检查方法:直观检查。
13 系统调试与验收
13.1 系 统 调 试
13.1.1 消防给水及消火栓系统调试应在系统施工完成后进行, 并应具备下列条件:
1 天然水源取水口、地下水井、消防水池、高位消防水池、高 位消防水箱等蓄水和供水设施水位、出水量、已储水量等符合设计 要求;
2 消防水泵、稳压泵和稳压设施等处于准工作状态;
3 系统供电正常,若柴油机泵油箱应充满油并能正常工作;
4 消防给水系统管网内已经充满水;
5 湿式消火栓系统管网内已充满水,手动干式、干式消火栓 系统管网内的气压符合设计要求;
6 系统自动控制处于准工作状态;
7 减压阀和阀门等处于正常工作位置。
13.1.2 系统调试应包括下列内容:
1 水源调试和测试;
2 消防水泵调试;
3 稳压泵或稳压设施调试;
4 减压阀调试;
5 消火栓调试;
6 自动控制探测器调试;
7 干式消火栓系统的报警阀等快速启闭装置调试,并应包含 报警阀的附件电动或电磁阀等阀门的调试;
8 排水设施调试;
9 联锁控制试验。
13.1.3 水源调试和测试应符合下列要求:
1 按设计要求核实高位消防水箱、高位消防水池、消防水池的容积,高位消防水池、高位消防水箱设置高度应符合设计要求; 消防储水应有不作他用的技术措施。当有江河湖海、水库和水塘 等天然水源作为消防水源时应验证其枯水位、洪水位和常水位的 流量符合设计要求。地下水井的常水位、出水量等应符合设计 要求;
2 消防水泵直接从市政管网吸水时,应测试市政供水的压力 和流量能否满足设计要求的流量;
3 应按设计要求核实消防水泵接合器的数量和供水能力,并应通过消防车车载移动泵供水进行试验验证;
4 应核实地下水井的常水位和设计抽升流量时的水位。 检查数量:全数检查。
检查方法:直观检查和进行通水试验。
13.1.4 消防水泵调试应符合下列要求:
1 以自动直接启动或手动直接启动消防水泵时,消防水泵应在55s 内投入正常运行,且应无不良噪声和振动;
2 以备用电源切换方式或备用泵切换启动消防水泵时,消防水泵应分别在1min 或 2min 内投入正常运行;
3 消防水泵安装后应进行现场性能测试,其性能应与生产厂 商提供的数据相符,并应满足消防给水设计流量和压力的要求;
4 消防水泵零流量时的压力不应超过设计工作压力的 140%;当出流量为设计工作流量的150%时,其出口压力不应低 于设计工作压力的65%。
检查数量:全数检查。
检查方法:用秒表检查。
13.1.5 稳压泵应按设计要求进行调试,并应符合下列规定:
1 当达到设计启动压力时,稳压泵应立即启动;当达到系统停泵压力时,稳压泵应自动停止运行;稳压泵启停应达到设计压力要求;
2能满足系统自动启动要求,且当消防主泵启动时,稳压泵应停止运行;
3 稳压泵在正常工作时每小时的启停次数应符合设计要求且不应大于 15 次/h;
4 稳压泵启停时系统压力应平稳,且稳压泵不应频繁启停
检查数量:全数检查。
检查方法:直观检查。
13.1.6 干式消火栓系统快速启闭装置调试应符合下列要求:
1 干式消火栓系统调试时,开启系统试验阀或按下消火栓按 钮,干式消火栓系统快速启闭装置的启动时间、系统启动压力、水 流到试验装置出口所需时间,均应符合设计要求;
2 快速启闭装置后的管道容积应符合设计要求,并应满足充 水时间的要求;
3 干式报警阀在充气压力下降到设定值时应能及时启动;
4 干式报警阀充气系统在设定低压点时应启动,在设定高压 点时应停止充气,当压力低于设定低压点时应报警;
5 干式报警阀当设有加速排气器时,应验证其可靠工作。 检查数量:全数检查。
检查方法:使用压力表、秒表、声强计和直观检查。
13.1.7 减压阀调试应符合下列要求:
1 减压阀的阀前阀后动静压力应满足设计要求;
2 减压阀的出流量应满足设计要求,当出流量为设计流量的 150%时,阀后动压不应小于额定设计工作压力的65%;
3 减压阀在小流量、设计流量和设计流量的150%时不应出 现噪声明显增加;
4 测试减压阀的阀后动静压差应符合设计要求。 检查数量:全数检查。
检查方法:使用压力表、流量计、声强计和直观检查。
13.1.8 消火栓的调试和测试应符合下列规定:
1 试验消火栓动作时,应检测消防水泵是否在本规范规定的 时间内自动启动;
2 试验消火栓动作时,应测试其出流量、压力和充实水柱的 长度;并应根据消防水泵的性能曲线核实消防水泵供水能力;
3 应检查旋转型消火栓的性能能否满足其性能要求;
4 应采用专用检测工具,测试减压稳压型消火栓的阀后动静 压是否满足设计要求。
检查数量:全数检查。
检查方法:使用压力表、流量计和直观检查。
13.1.9 调试过程中,系统排出的水应通过排水设施全部排走,并 应符合下列规定:
1 消防电梯排水设施的自动控制和排水能力应进行测试;
2 报警阀排水试验管处和末端试水装置处排水设施的排水 能力应进行测试,且在地面不应有积水;
3 试验消火栓处的排水能力应满足试验要求;
4 消防水泵房排水设施的排水能力应进行测试,并应符合设 计要求。
检查数量:全数检查。
检查方法:使用压力表、流量计、专用测试工具和直观检查。
13.1.10 控制柜调试和测试应符合下列要求:
1 应首先空载调试控制柜的控制功能,并应对各个控制程序 进行试验验证;
2 当空载调试合格后,应加负载调试控制柜的控制功能,并 应对各个负载电流的状况进行试验检测和验证;
3 应检查显示功能,并应对电压、电流、故障、声光报警等功 能进行试验检测和验证;
4 应调试自动巡检功能,并应对各泵的巡检动作、时间、周 期、频率和转速等进行试验检测和验证;
5 应试验消防水泵的各种强制启泵功能。
检查数量:全数检查。
检查方法:使用电压表、电流表、秒表等仪表和直观检查。
13.1.11 联锁试验应符合下列要求,并应按本规范表 C.0.4 的 要求进行记录:
1 干式消火栓系统联锁试验,当打开1个消火栓或模拟1个 消火栓的排气量排气时,干式报警阀(电动阀/电磁阀)应及时启 动,压力开关应发出信号或联锁启动消防防水泵,水力警铃动作应 发出机械报警信号;
2 消防给水系统的试验管放水时,管网压力应持续降低,消 防水泵出水干管上压力开关应能自动启动消防水泵;消防给水系 统的试验管放水或高位消防水箱排水管放水时,高位消防水箱出 水管上的流量开关应动作,且应能自动启动消防水泵;
3 自动启动时间应符合设计要求和本规范第11.0.3条的有关规定。
检查数量:全数检查。
检查方法:直观检查。
13.2.7 稳压泵验收应符合下列要求:
1 稳压泵的型号性能等应符合设计要求;
2 稳压泵的控制应符合设计要求,并应有防止稳压泵频繁启 动的技术措施;
3 稳 压 泵 在 1h 内的启停次数应符合设计要求,并不宜大于 15次/h;
4 稳压泵供电应正常,自动手动启停应正常;关掉主电源, 主、备电源应能正常切换;
5 气压水罐的有效容积以及调节容积应符合设计要求,并应 满足稳压泵的启停要求。
检查数量:全数检查。
检查方法:直观检查。
13.2.8 减压阀验收应符合下列要求:
1 减压阀的型号、规格、设计压力和设计流量应符合设计要求;
2 减压阀阀前应有过滤器,过滤器的过滤面积和孔径应符合 设计要求和本规范第8.3.4条第2款的规定;
3 减压阀阀前阀后动静压力应符合设计要求;
4 减压阀处应有试验用压力排水管道;
5 减压阀在小流量、设计流量和设计流量的150%时不应出现噪声明显增加或管道出现喘振;
6 减压阀的水头损失应小于设计阀后静压和动压差。 检查数量:全数检查。
检查方法:使用压力表、流量计和直观检查。
13.2.9 消防水池、高位消防水池和高位消防水箱验收应符合下 列要求:
1 设置位置应符合设计要求;
2 消防水池、高位消防水池和高位消防水箱的有效容积、水 位、报警水位等,应符合设计要求;
3 进出水管、溢流管、排水管等应符合设计要求,且溢流管应 采用间接排水;
4 管道、阀门和进水浮球阀等应便于检修,人孔和爬梯位置 应合理;
5 消防水池吸水井、吸(出)水管喇叭口等设置位置应符合设 计要求。
检查数量:全数检查。
检查方法:直观检查。
13.2.10 气压水罐验收应符合下列要求:
1 气压水罐的有效容积、调节容积和稳压泵启泵次数应符合 设计要求;
2 气压水罐气侧压力应符合设计要求。
检查数量:全数检查。
检查方法:直观检查。
2 能满足系统自动启动要求,且当消防主泵启动时,稳压泵 应停止运行;
3 稳压泵在正常工作时每小时的启停次数应符合设计要求, 且不应大于15次/h;
4 稳压泵启停时系统压力应平稳,且稳压泵不应频繁启停。
检查数量:全数检查。
检查方法:直观检查。
13.2 系 统 验 收
13.2.1 系统竣工后,必须进行工程验收,验收应由建设单位组织 质检、设计、施工、监理参加,验收不合格不应投入使用。
13.2.2 消防给水及消火栓系统工程验收应按本规范附录 E 的 要求填写。
13.2.3 系统验收时,施工单位应提供下列资料: 1 竣工验收申请报告、设计文件、竣工资料; 2 消防给水及消火栓系统的调试报告;
3 工程质量事故处理报告;
4 施工现场质量管理检查记录;
5 消防给水及消火栓系统施工过程质量管理检查记录;
6 消防给水及消火栓系统质量控制检查资料。
13.2.4 水源的检查验收应符合下列要求:
1 应检查室外给水管网的进水管管径及供水能力,并应检查 高位消防水箱、高位消防水池和消防水池等的有效容积和水位测 量装置等应符合设计要求;
2 当采用地表天然水源作为消防水源时,其水位、水量、水质 等应符合设计要求;
3 应根据有效水文资料检查天然水源枯水期最低水位、常水 位和洪水位时确保消防用水应符合设计要求;
4 应根据地下水井抽水试验资料确定常水位、最低水位、出 水量和水位测量装置等技术参数和装备应符合设计要求。
检查数量:全数检查。
检查方法:对照设计资料直观检查。
13.2.5 消防水泵房的验收应符合下列要求:
1 消防水泵房的建筑防火要求应符合设计要求和现行国家 标准《建筑设计防火规范》GB 50016 的有关规定;
2 消防水泵房设置的应急照明、安全出口应符合设计要求;
3 消防水泵房的采暖通风、排水和防洪等应符合设计要求;
4 消防水泵房的设备进出和维修安装空间应满足设备要求;
5 消防水泵控制柜的安装位置和防护等级应符合设计要求。
检查数量:全数检查。
检查方法:对照图纸直观检查。
13.2.6 消防水泵验收应符合下列要求:
1 消防水泵运转应平稳,应无不良噪声的振动;
2 工作泵、备用泵、吸水管、出水管及出水管上的泄压阀、水 锤消除设施、止回阀、信号阀等的规格、型号、数量,应符合设计要 求;吸水管、出水管上的控制阀应锁定在常开位置,并应有明显 标记;
3 消防水泵应采用自灌式引水方式,并应保证全部有效储水
13.2.11 干式消火栓系统报警阀组的验收应符合下列要求:
1 报警阀组的各组件应符合产品标准要求;
2 打开系统流量压力检测装置放水阀,测试的流量、压力应 符合设计要求;
3 水力警铃的设置位置应正确。测试时,水力警铃喷嘴处压 力不应小于0.05MPa, 且距水力警铃3m 远处警铃声声强不应小 于 7 0dB;
4 打开手动试水阀动作应可靠;
5 控制阀均应锁定在常开位置;
6 与空气压缩机或火灾自动报警系统的联锁控制,应符合设计要求。
检查数量:全数检查。
检查方法:直观检查。
13.2.12 管网验收应符合下列要求:
1 管道的材质、管径、接头、连接方式及采取的防腐、防冻措 施,应符合设计要求,管道标识应符合设计要求;
2 管网排水坡度及辅助排水设施,应符合设计要求;
3 系统中的试验消火栓、自动排气阀应符合设计要求;
4 管网不同部位安装的报警阀组、闸阀、止回阀、电磁阀、信 号阀、水流指示器、减压孔板、节流管、减压阀、柔性接头、排水管、 排气阀、泄压阀等,均应符合设计要求;
5 干式消火栓系统允许的最大充水时间不应大于5min;
6 干式消火栓系统报警阀后的管道仅应设置消火栓和有信 号显示的阀门;
7 架空管道的立管、配水支管、配水管、配水干管设置的支 架,应符合本规范第12.3.19条~第12.3.23条的规定;
8 室外埋地管道应符合本规范第12 . 3 . 17条和第12 . 3 .22 条等的规定。
检查数量:本条第7款抽查20%,且不应少于5处;本条第1款~第6款、第8款全数抽查。
检查方法:直观和尺量检查、秒表测量。
13.2.13 消火栓验收应符合下列要求:
1 消火栓的设置场所、位置、规格、型号应符合设计要求和本规范第7.2节~第7.4节的有关规定;
2 室内消火栓的安装高度应符合设计要求;
3 消火栓的设置位置应符合设计要求和本规范第7章的有 关规定,并应符合消防救援和火灾扑救工艺的要求;
4 消火栓的减压装置和活动部件应灵活可靠,栓后压力应符合设计要求。
检查数量:抽查消火栓数量10%,且总数每个供水分区不应 少于10个,合格率应为100%。
检查方法:对照图纸尺量检查。
13.2.14 消防水泵接合器数量及进水管位置应符合设计要求,消 防水泵接合器应采用消防车车载消防水泵进行充水试验,且供水 最不利点的压力、流量应符合设计要求;当有分区供水时应确定消 防车的最大供水高度和接力泵的设置位置的合理性。
检查数量:全数检查。
检查方法:使用流量计、压力表和直观检查。
13.2.15 消防给水系统流量、压力的验收,应通过系统流量、压力 检测装置和末端试水装置进行放水试验,系统流量、压力和消火栓 充实水柱等应符合设计要求。
检查数量:全数检查。
检查方法:直观检查。
13.2.16 控制柜的验收应符合下列要求:
1 控制柜的规格、型号、数量应符合设计要求;
2 控制柜的图纸塑封后应牢固粘贴于柜门内侧;
3 控制柜的动作应符合设计要求和本规范第11章的有关规定;
4 控制柜的质量应符合产品标准和本规范第12 . 2 . 7条的 要求;
5 主、备用电源自动切换装置的设置应符合设计要求。
检查数量:全数检查。
检查方法:直观检查。
13.2.17 应进行系统模拟灭火功能试验,且应符合下列要求:
1 干式消火栓报警阀动作,水力警铃应鸣响压力开关动作;
2 流量开关、低压压力开关和报警阀压力开关等动作,应能 自动启动消防水泵及与其联锁的相关设备,并应有反馈信号显示;
3 消防水泵启动后,应有反馈信号显示;
4 干式消火栓系统的干式报警阀的加速排气器动作后,应有反馈信号显示;
5 其他消防联动控制设备启动后,应有反馈信号显示。
检查数量:全数检查。
检查方法:直观检查。
13.2.18 系统工程质量验收判定条件应符合下列规定:
1 系统工程质量缺陷应按本规范附录F 要求划分;
2 系统验收合格判定应为A=0, 且 B≤2, 且 B+C≤6 为合格 ;
3 系统验收不符合本条第2款要求时,应为不合格。
14.0.1 消防给水及消火栓系统应有管理、检查检测、维护保养的 操作规程;并应保证系统处于准工作状态。维护管理应按本规范 附录G 的要求进行。
14.0.2 维护管理人员应掌握和熟悉消防给水系统的原理、性能 和操作规程。
14.0.3 水源的维护管理应符合下列规定:
1 每季度应监测市政给水管网的压力和供水能力;
2 每年应对天然河湖等地表水消防水源的常水位、枯水位、 洪水位,以及枯水位流量或蓄水量等进行一次检测;
3 每年应对水井等地下水消防水源的常水位、最低水位、最 高水位和出水量等进行一次测定;
4 每月应对消防水池、高位消防水池、高位消防水箱等消防 水源设施的水位等进行一次检测;消防水池(箱)玻璃水位计两端 的角阀在不进行水位观察时应关闭;
5 在冬季每天应对消防储水设施进行室内温度和水温检测,当结冰或室内温度低于5℃时,应采取确保不结冰和室温不低于 低于5℃的措施。
14.0.4 消防水泵和稳压泵等供水设施的维护管理应符合下列规定:
1 每月应手动启动消防水泵运转一次,并应检查供电电源的 情况;
2 每周应模拟消防水泵自动控制的条件自动启动消防水泵 运转一次,且应自动记录自动巡检情况,每月应检测记录;
3 每日应对稳压泵的停泵启泵压力和启泵次数等进行检查和记录运行情况;
4 每日应对柴油机消防水泵的启动电池的电量进行检测,每 周应检查储油箱的储油量,每月应手动启动柴油机消防水泵运行 一次;
5 每季度应对消防水泵的出流量和压力进行一次试验;
6 每月应对气压水罐的压力和有效容积等进行一次检测。
14.0.5 减压阀的维护管理应符合下列规定:
1 每月应对减压阀组进行一次放水试验,并应检测和记录减 压阀前后的压力,当不符合设计值时应采取满足系统要求的调试 和维修等措施;
2 每年应对减压阀的流量和压力进行一次试验。
14.0.6 阀门的维护管理应符合下列规定:
1 雨林阀的附属电磁阀应每月检查并应作启动试验,动作失 常时应及时更换;
2 每月应对电动阀和电磁阀的供电和启闭性能进行检测;
3 系统上所有的控制阀门均应采用铅封或锁链固定在开启 或规定的状态,每月应对铅封、锁链进行一次检查,当有破坏或损 坏时应及时修理更换;
4 每季度应对室外阀门井中,进水管上的控制阀门进行一次 检查,并应核实其处于全开启状态;
5 每天应对水源控制阀、报警阀组进行外观检查,并应保证 系统处于无故障状态;
6 每季度应对系统所有的末端试水阀和报警阀的放水试验 阀进行一次放水试验,并应检查系统启动、报警功能以及出水情况 是否正常;
7 在市政供水阀门处于完全开启状态时,每月应对倒流防止 器的压差进行检测,并应符合国家现行标准《减压型倒流防止器》 GB/T 25178、《低阻力倒流防止器》JB/T11151 和《双止回阀倒流 防止器》CJ/T 160 等的有关规定。
14.0.7 每季度应对消火栓进行一次外观和漏水检查,发现有不 正常的消火栓应及时更换。
14.0.8 每季度应对消防水泵接合器的接口及附件进行一次检 查,并应保证接口完好、无渗漏、闷盖齐全。
14.0.9 每年应对系统过滤器进行至少一次排渣,并应检查过滤 器是否处于完好状态,当堵塞或损坏时应及时检修。
14.0.10 每年应检查消防水池、消防水箱等蓄水设施的结构材料 是否完好,发现问题时应及时处理。
14.0.11 建筑的使用性质功能或障碍物的改变,影响到消防给水 及消火栓系统功能而需要进行修改时,应重新进行设计。
14.0.12 消火栓、消防水泵接合器、消防水泵房、消防水泵、减压 阀、报警阀和阀门等,应有明确的标识。
14.0.13 消防给水及消火栓系统应有产权单位负责管理,并应使 系统处于随时满足消防的需求和安全状态。
14.0.14 永久性地表水天然水源消防取水口应有防止水生生物 繁殖的管理技术措施。
14.0.15 消防给水及消火栓系统发生故障,需停水进行修理前, 应向主管值班人员报告,并应取得维护负责人的同意,同时应临场 监督,应在采取防范措施后再动工。
表A 消防给水及消火栓系统分部、分项工程划分
| 分部工程 | 序号 | 子分部工程 | 分 项 工 程 |
| 消防给水 及消火栓 系统 | 1 | 消防水源 施工与安装 | 消防水池、高位消防水池等安装和施工,江 河湖海水库(塘)作为室外水源时取水设施的 安装和施工,市政给水入户管和地下水井等 |
| 2 | 供水设施 安装与施工 | 消防水泵、高位消防水箱、稳压泵安装和气 压水罐安装、消防水泵接合器安装的取水设 施的安装 | |
| 3 | 供水管网 | 管网施工与安装 | |
| 4 | 水灭火系统 | 市政消火栓 | |
| 室外消火栓 | |||
| 室内消火栓 | |||
| 自动喷水系统 | |||
| 水喷雾系统 | |||
| 泡沫系统 | |||
| 固定消防炮灭火系统 | |||
| 其他系统或组件 | |||
| 5 | 系统试压和 冲洗 | 水压试验、气压试验、冲洗 | |
| 6 | 系统调试 | 水源测试(压力和流量,以及水池水箱的水 位显示装置等)、消防水泵调试、稳压泵和气 压水罐调试、减压阀调试、报警阀组调试、排 水装置调试、联锁试验 |
表 B 施工现场质量管理检查记录
| 工程名称 | |||||
| 建设单位 | 监理单位 | ||||
| 设计单位 | 项目负责人 | ||||
| 施工单位 | 施工许可证 | ||||
| 序号 | 项 目 | 内 容 | |||
| 1 | 现场质量管理制度 | ||||
| 2 | 质量责任制 | ||||
| 3 | 主要专业工种人员操作上岗证书 | ||||
| 4 | 施工图审查情况 | ||||
| 5 | 施工组织设计、施工方案及审批 | ||||
| 6 | 施工技术标准 | ||||
| 7 | 工程质量检验制度 | ||||
| 8 | 现场材料、设备管理 | ||||
| 9 | 其他 | ||||
| 10 | |||||
| 结论 | 施工单位项目负责人: (签章) 年 月 日 | 监理工程师 (签章) 年 月 日 | 建 设 单 位 项 目 负 责 人 (签章) 年 月 日 | ||
·116 ·
附录 C 消防给水及消火栓系统 施工过程质量检查记录
C.0.1 消防给水及消火栓系统施工过程质量检查记录应由施工 单位质量检查员按表 C.0.1 填写,监理工程师应进行检查,并应 做出检查结论。
表C.0.1 消防给水及消火栓系统施工过程质量检查记录
| 工程名称 | 施工单位 | |||
| 施工执行规范 名称及编号 | 监理单位 | |||
| 子分部工程名称 | 分项工程名称 | |||
| 项 目 | 《规范》章节条款 | 施工单位检查 评定记录 | 监理单位验收记录 | |
| 结论 | 施工单位项目负责人: (签章) 年 月 日 | 监理工程师(建设单位项目负责人) (签章) 年 月 日 | ||
C.0.2 消防给水及消火栓系统试压记录应由施工单位质量检查 员填写,监理工程师(建设单位项目负责人)应组织施工单位项目 负责人等进行验收,并应按表 C.0.2 填写。
表 C.0.2 消防给水及消火栓系统试压记录
| 工程名称 | 建设单位 | ||||||||||||
| 施工单位 | 监理单位 | ||||||||||||
| 管段号 | 材质 | 系统 工作 压力 (MPa) | 温度 (℃) | 强度试验 | 严密性试验 | ||||||||
| 介质 | 压力 (MPa) | 时间 (min) | 结论 意见 | 介质 | 压力 (MPa) | 时间 (min) | 结论 意见 | ||||||
| 参加 单位 | 施工单位项目负责人: (签章 年 月 日 | 监理工程师: (签章) 年 月 日 | 建设单位项目负责人: (签章) 年 月 日 | ||||||||||
C.0.3 消防给水及消火栓系统管网冲洗记录应由施工单位质量 检查员填写,监理工程师(建设单位项目负责人)应组织施工单位 项目负责人等进行验收,并应按表 C.0.3 填写。
表 C.0.3 消防给水及消火栓系统管网冲洗记录
| 工程名称 | 建设单位 | |||||||||
| 施工单位 | 监理单位 | |||||||||
| 管段号 | 材质 | 冲 洗 | 结论意见 | |||||||
| 介质 | 压力 (MPa | 流速 (m/s | 流量 (L/s | 冲洗次数 | ||||||
| 参加 单位 | 施工单位(项目)负责人 (签章) 年 月 日 | 监理工程师: (签章) 年 月 日 | 建设单位(项目)负责人 (签章) 年 月 日 | |||||||
C.0.4 消防给水及消火栓系统联锁试验记录应由施工单位质量 检查员填写,监理工程师(建设单位项目负责人)应组织施工单位 项目负责人等进行验收,并应按表 C.0.4 填写。
表 C.0.4 消防给水及消火栓系统联锁试验记录
| 工程名称 | 建设单位 | |||||
| 施工单位 | 监理单位 | |||||
| 系统 类型 | 启动信号 (部位) | 联动组件动作 | ||||
| 名 称 | 是否开启 | 要求动作时间 | 实际动作时间 | |||
| 消防给水 | ||||||
| 湿式 消火栓 系统 | 末端试水装置 (试验消火栓) | 消防水泵 | ||||
| 压力开关 (管网) | ||||||
| 高位 消防水箱 水流开关 | ||||||
| 稳压泵 | ||||||
| 干式 消火栓 系统 | 模拟消火栓 动作 | 干式阀等 快速启闭 装置 | ||||
| 水力警铃 | ||||||
| 压力开关 | ||||||
| 充水时间 | ||||||
| 压力开关 (管网) | ||||||
| 高位 消防水箱 流量开关 | ||||||
| 消防水泵 | ||||||
| 稳压泵 | ||||||
| 自动喷水 灭火系统 | 现行国家标准《自动喷水灭火系统施工及验收规范》GB 50261 | |||||
续表 C.0.4
| 水喷雾 系统 | 现行国家标准《自动喷水灭火系统施工及验收规范》GB 50261 | ||
| 泡沫系统 | 现行国家标准《泡沫灭火系统施工及验收规范》GB 50281 | ||
| 消防炮 系统 | |||
| 参加 单位 | 施工单位项目负责人: (签章) 年 月 日 | 监理工程师, (签章) 年 月 日 | 建设单位项目负责人: (签章 年 月 日 |
附录 D 消防给水及消火栓系统工程 质量控制资料检查记录
| 工程名称 | 施工单位 | ||||||
| 分部工程 名称 | 资料名称 | 数量 | 核查意见 | 核查人 | |||
| 消防给水 及消火栓 系统 | 1.施工图、设计说明书、设 计变更通知书和设计审核意 见书、竣工图 | ||||||
| 2.主要设备、组件的国家质 量监督检验测试中心的检测 报告和产品出厂合格证 | |||||||
| 3.与系统相关的电源、备用 动力、电气设备以及联锁控制 设备等验收合格证明 | |||||||
| 4.施工记录表,系统试压记 录表,系统管道冲洗记录表 隐蔽工程验收记录表,系统联 锁控制试验记录表,系统调试 记录表 | |||||||
| 5.系统及设备使用说明书 | |||||||
| 结论 | 施工单位项目负责人 (签章) 年 月 日 | 监理工程师: (签章) 年 月 日 | 建设单位项目负责人 (签章) 年 月 日 | ||||
附录 E 消防给水及消火栓系统工程验收记录
| 工程名称 | 分部工程名称 | ||||||
| 施工单位 | 项目负责人 | ||||||
| 监理单位 | 监理工程师 | ||||||
| 序号 | 检查项目名称 | 检查内容记录 | 检查评定结果 | ||||
| 1 | |||||||
| 2 | |||||||
| 3 | |||||||
| 4 | |||||||
| 5 | |||||||
| 综合验收结论 | |||||||
| 验 收 单 位 | 施工单位:(单位印章) | 项目负责人:(签章) 年 月 日 | |||||
| 监理单位:(单位印章 | 总监理工程师:(签章) 年 月 日 | ||||||
| 设计单位:(单位印章) | 项目负责人:(签章】 年 月 日 | ||||||
| 建设单位:(单位印章) | 项目负责人:(签章 年 月 日 | ||||||
附录 F 消防给水及消火栓系统 验收缺陷项目划分
表F 消防给水及消火栓系统验收缺陷项目划分
| 缺陷分类 | 严重缺陷(A) | 重缺陷(B) | 轻缺陷(C) |
| 包含 条款 | 本规范第13.2.3条 | ||
| 本规范第13.2.4条 | |||
| 本规范第13.2.5条 | |||
| 本规范第13.2.6条 第2款和第7款 | 第13 .2 .6条第1 款、第3款~第6款、 第8款 | ||
| 本规范第13.2.7条 第1款 | 本规范第13.2.7条 除第2款~第5款 | ||
| 本规范第13.2.8条 第1款和第6款 | 本规范第13.2.8条 除第2款~第5款 | ||
| 本规范第13.2.9条 第1款~第3款 | 本规范第13.2.9条 第4款、第5款 | ||
| 本规范第13.2.10 条第1款 | 本规范第13.2.10 条第2款 | ||
| 本规范第13.2.11条 第1款~第4款、第6款 | 本规范第13.2.11 条第5款 | ||
| 本规范第13.2.12条 | |||
| 本规范第13.2.13 条第1款 | 本规范第13.2.13 条第3款和第4款 | 本规范第13.2.13 条第2款 | |
| 本规范第13.2.14条 | |||
| 本规范第13.2.15条 | |||
| 本规范第13.2.16条 | |||
| 本规范第13.2.17 条第2款和第3款 | 本规范第13.2.17 条第4款和第5款 | 本规范第13.2.17 条第1款 |
附录 G 消防给水及消火栓系统 维护管理工作检查项目
表G 消防给水及消火栓系统维护管理工作检查项目
| 部 位 | 工作内容 | 周期 | |
| 水源 | 市政给水管网 | 压力和流量 | 每季 |
| 河湖等地表水源 | 枯水位、洪水位、枯水位 流量或蓄 水量 | 每年 | |
| 水井 | 常水位、最低水位、出流量 | 每年 | |
| 消防水池(箱)、高位消防水箱 | 水位 | 每年 | |
| 室外消防水池等 | 温度 | 冬季每天 | |
| 供水 设施 | 电源 | 接通状态,电压 | 每日 |
| 消防水泵 | 自动巡检记录 | 每周 | |
| 手动启动试运转 | 每月 | ||
| 流量和压力 | 每季 | ||
| 稳压泵 | 启停泵压力、启停次数 | 每日 | |
| 柴油机消防水泵 | 启动电池、储油量 | 每日 | |
| 气压水罐 | 检测气压、水位、有效容积 | 每月 | |
| 减压阀 | 放水 | 每月 | |
| 测试流量和压力 | 每年 | ||
| 阀门 | 雨林阀的附属电磁阀 | 每月检查开启 | 每月 |
| 电动阀或电磁阀 | 供电、启闭性能检测 | 每月 | |
| 系统所有控制阀门 | 检查铅封、锁链完好状况 | 每月 | |
| 室外阀门井中控制阀门 | 检查开启状况 | 每季 | |
续表 G
| 部 位 | 工作内容 | 周期 | |
| 阀门 | 水源控制阀、报警阀组 | 外观检查 | 每天 |
| 末端试水阀、报警阀的试水阀 | 放水试验,启动性能 | 每季 | |
| 倒流防止器 | 压差检测 | 每月 | |
| 喷头 | 检查完好状况、清除异物、备用量 | 每月 | |
| 消火栓 | 外观和漏水检查 | 每季 | |
| 水泵接合器 | 检查完好状况 | 每月 | |
| 通水试验 | 每年 | ||
| 过滤器 | 排渣、完好状态 | 每年 | |
| 储水设备 | 检查结构材料 | 每年 | |
| 系统联锁试验 | 消火栓和其他水灭火系统等 运行功能 | 每年 | |
| 消防泵水房、水箱间、报警阀间、 减法阀间等供水设备间 | 检查室温 | (冬季)每天 | |
本规范用词说明
1 为便于在执行本规范条文时区别对待,对要求严格程度不 同的用词说明如下:
1)表示很严格,非这样做不可的:
正面词采用“必须”,反面词采用“严禁”;
2)表示严格,在正常情况下均应这样做的:
正面词采用“应”,反面词采用“不应”或“不得”;
3)表示允许稍有选择,在条件许可时首先应这样做的:
正面词采用“宜”,反面词采用“不宜”;
4)表示有选择,在一定条件下可以这样做的,采用“可”。
2 条文中指明应按其他有关标准执行的写法为:“应符合…… 的规定”或“应按……执行”。
引用标准名录
《室外给水设计规范》GB 50013
《建筑设计防火规范》GB 50016
《室外给水排水和燃气热力工程抗震设计规范》GB 50032
《自动喷水灭火系统设计规范》GB 50084
《给水排水构筑物工程施工及验收规范》GB 50141
《泡沫灭火系统设计规范》GB 50151
《石油化工企业设计防火规范》GB 50160
《石油天然气工程设计防火规范》GB 50183
《水喷雾灭火系统设计规范》GB 50219
《机械设备安装工程施工及验收通用规范》GB 50231
《工业金属管道工程施工规范》GB 50235
《现场设备、工业管道焊接工程施工规范》GB 50236
《建筑给水排水及采暖工程施工质量验收规范》GB 50242
《自动喷水灭火系统施工及验收规范》GB 50261
《给水排水管道工程施工及验收规范》GB 50268
《风机、压缩机、泵安装工程施工及验收规范》GB 50275
《泡沫灭火系统施工及验收规范》GB 50281
《供水管井技术规范》GB 50296
《给水排水工程管道结构设计规范》GB 50332
《固定消防炮灭火系统设计规范》GB 50338
《电工电子产品基本环境试验 第2部分:试验方法 试验 A: 低温》GB/T 2423.1
《电工电子产品基本环境试验 第2部分:试验方法 试验 B: 高温》GB/T 2423.2
《电工成套装置中的导线颜色》GB/T 2681
《电工成套装置中的指示灯和按钮的颜色》GB/T 2682
《 高 度 进 制 为 2 0mm 的 面 板 、 架 和 柜 的 基 本 尺 寸 系 列 》 GB/T 3047.1
《低压流体输送用焊接钢管》GB/T 3091
《可锻铸铁管路连接件》GB 3287
《可锻铸铁管路连接件验收规则》GB 3288
《可锻铸铁管路连接件型式尺寸》GB 3289
《室内消火栓》GB 3445
《消防水泵接合器》GB 3446
《热塑性塑料熔体质量流动速率和熔体体积流动速率的测定》 GB/T 3682
《电气控制设备》GB/T 3797
《室外消火栓》GB 4452
《自动喷水灭火系统 第6部分:通用阀门》GB 5135.6
《自动喷水灭火系统 《自动喷水灭火系统 《自动喷水灭火系统
第7部分:水流指示器》GB 5135.7
第10部分:压力开关》GB 5135.10
第11部分:沟槽式管接件》GB 5135.11
《离心泵技术条件(Ⅱ类)》GB/T 5656
《消防泵》GB 6245
《消防水带》GB 6246
《柔性机械接口灰口铸铁管》GB/T 6483
《低压成套开关设备和控制设备 第1部分:型式试验和部分型 式试验成套设备》GB/T 7251.1
《55°密封螺纹 第 2 部 分 : 圆 锥 内 螺 纹 与 圆 锥 外 螺 纹 》GB 7306.2
《输送流体用无缝钢管》GB/T 8163
《消防水枪》GB 8181
《钢制管法兰类型与参数》GB 9112
《整体钢制管法兰》GB/T 9113
《水位测量仪器》GB/T 11828
《安全阀 一般要求》GB/T 12241
《压力释放装置 性能试验规范》GB/T 12242
《减压阀 性能试验方法》GB/T 12245
《钢制对焊无缝管件》GB/T12459
《水及燃气管道用球墨铸铁管、管件和附件》GB/T 13295
《管法兰用聚四氟乙烯包覆垫片》GB/T 13404
《通用阀门 压力试验》GB/T 13927
《消火栓箱》GB14561
《锻钢制螺纹管件》GB/T 14626
《流体输送用不锈钢无缝钢管》GB/T 14976
《消防软管卷盘》GB 15090
《控制用电磁继电器可靠性试验通则》GB/T 15510
《离心泵技术条件(I) 类》GB/T 16907
《减压型倒流防止器》GB/T 25178
《埋地聚乙烯给水管道工程技术规程》CJJ101
《钢丝网骨架塑料(聚乙烯)复合管》CJ/T 189
《双止回阀倒流防止器》CJ/T 160
《固定消防给水设备的性能要求和试验方法 第2部分:消防自 动恒压给水设备》GA 30.2
《轻便消防水龙》GA 180
《阀门的检验与试验》JB/T 9092
《低阻力倒流防止器》JB/T 11151
